🇳🇴 🇬🇧 🇩🇪 🇨🇿 🇫🇮

Meteor Koppangin yllä 2025-03-21 00:59:14 UTC

KML-tiedosto  |  Interaktiivinen kartta

Kartta näyttää meteorin suuntahavainnot. Vaaleammat viivat näyttävät suunnat havaintoasemilta meteorin ilmestyessä, ja tummemmat viivat näyttävät, missä se viimeksi nähtiin. Sininen nuoli näyttää meteorin näkyvän lennon.

static map
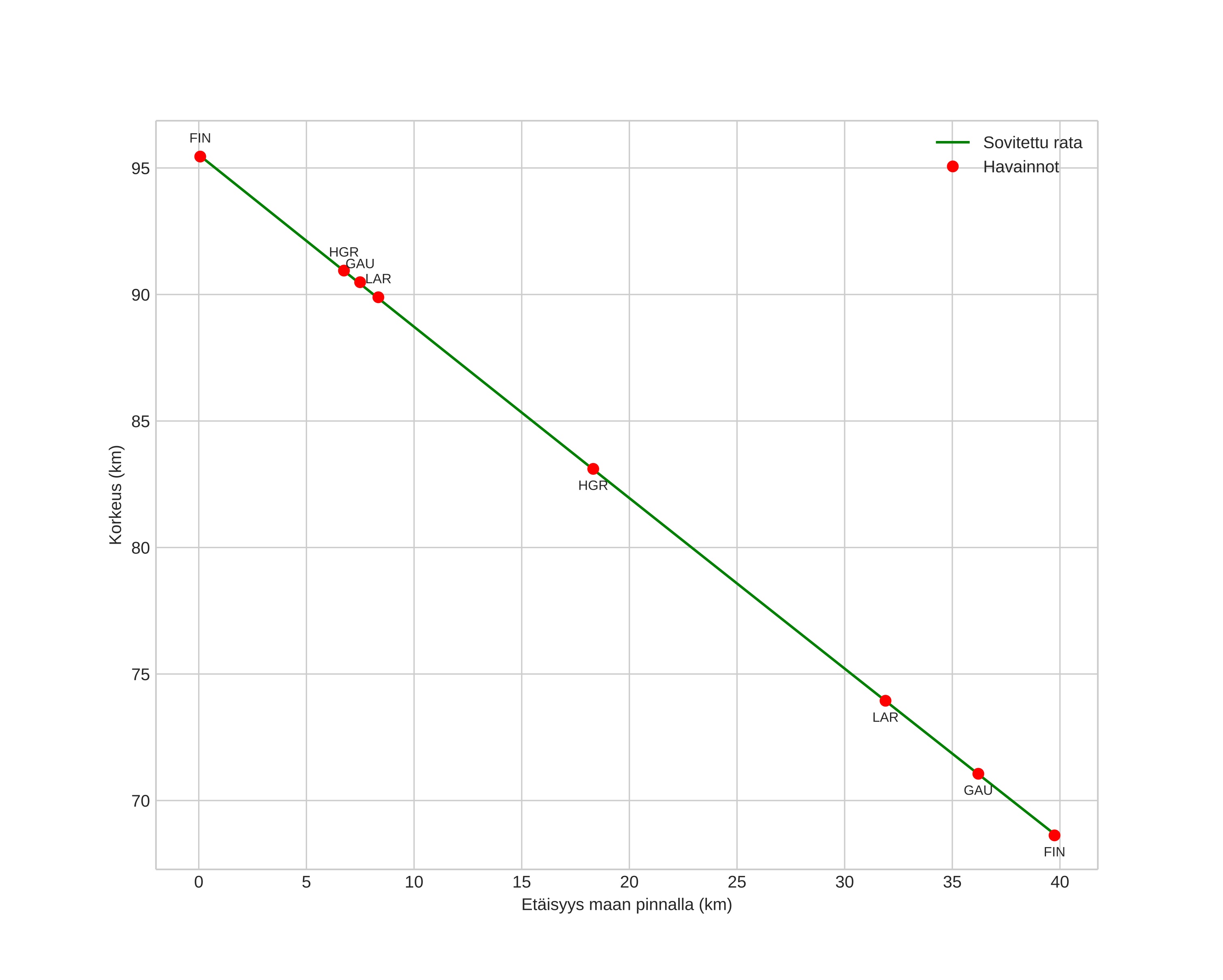
height profile
Meteorin ilmakehärata:
Alkukorkeus: 96,9 km
Loppukorkeus: 68,5 km
Alkupiste: 61,104N 10,550E
Loppupiste: 61,453N 10,833E
Suunta: 21,2°
Kallistuskulma: 34,3°
Tulonopeus: 26,9 km/s
Radiantin R,A,: 12:21 (185,3°)
Radiantin Dekl,: 4,3°
Meteoriparvi: Sporadinen
Meteoroidin rataelementit:
Perihelietäisyys: 0,522 AU
Eksentrisyys: 0,775
Inklinaatio: 5,1°
Nousevan solmun pituus: 0,3°
Perihelin argumentti: 275,1°
Keskianomalia: 347,5°
Epookki: 2025 MAR 21 00:59:14
orbit plot

Ei-interaktiivinen kuvaaja | Interaktiivinen kuvaaja

position vs time
speed and acceleration