🇳🇴 🇬🇧 🇩🇪 🇨🇿 🇫🇮

Meteor, poloha: Ă…mot 2025-03-21 01:40:55 UTC

Soubor KML  |  InteraktivnĂ­ mapa

Mapa zobrazuje dráhy meteoru. Světlejší čáry ukazují směry od pozorovacích stanic při objevení se meteoru a tmavší čáry, kde byl naposledy viděn. Modrá šipka značí viditelnou dráhu meteoru.

static map
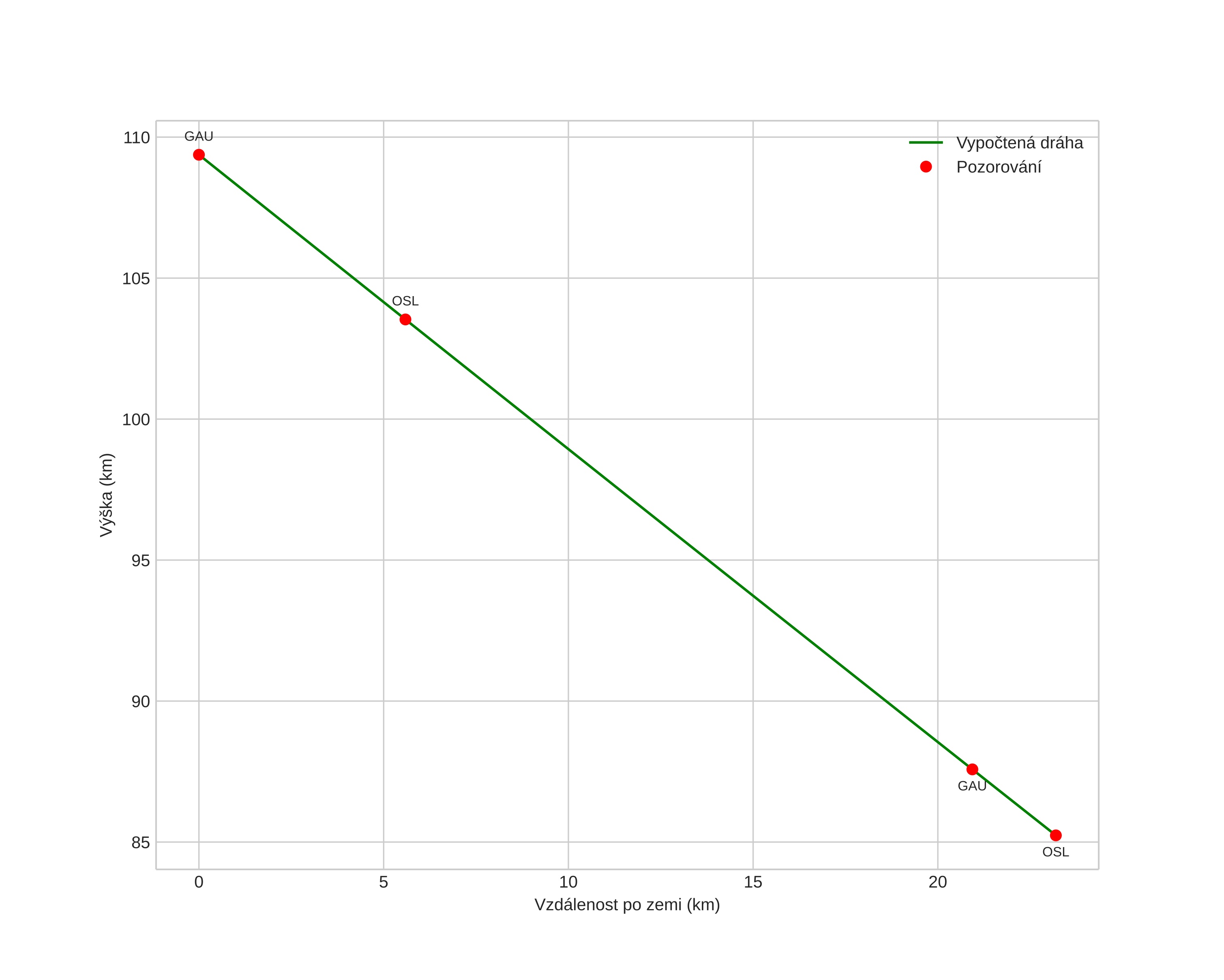
height profile
Atmosférická dráha meteoru:
Počáteční výška: 107,5 km
Konečná výška: 85,4 km
Počáteční poloha: 59,918N 8,520E
Konečná poloha: 59,908N 8,107E
Směr: 267,5°
Sklon: 43,8°
VstupnĂ­ rychlost: 45,1 km/s
Rektascenze radiantu: 18:34 (278,7°)
Deklinace radiantu: 37,4°
MeteorickĂ˝ roj: sporadickĂ˝
Elementy dráhy meteoroidu:
Vzdálenost v periheliu: 0,972 AU
Excentricita: 0,741
Sklon dráhy: 76,6°
Délka vzestupného uzlu: 0,3°
Argument perihelia: 160,7°
Střední anomálie: 2,0°
Epocha: 2025 MAR 21 01:40:55
orbit plot

NeinteraktivnĂ­ graf | InteraktivnĂ­ graf

position vs time
speed and acceleration