🇳🇴 🇬🇧 🇩🇪 🇨🇿 🇫🇮

Meteor Åmotin yllä 2025-03-21 01:40:55 UTC

KML-tiedosto  |  Interaktiivinen kartta

Kartta näyttää meteorin suuntahavainnot. Vaaleammat viivat näyttävät suunnat havaintoasemilta meteorin ilmestyessä, ja tummemmat viivat näyttävät, missä se viimeksi nähtiin. Sininen nuoli näyttää meteorin näkyvän lennon.

static map
height profile
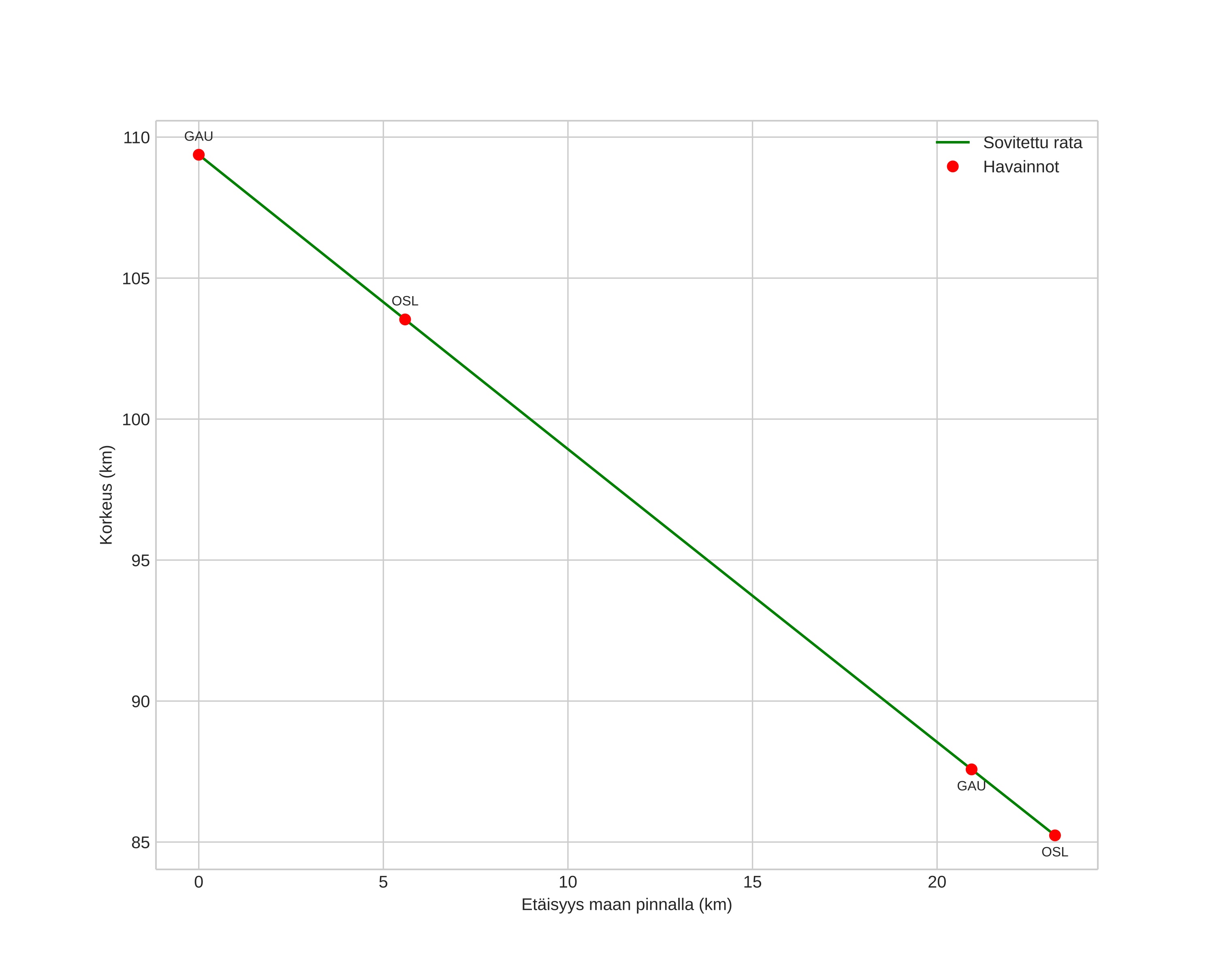
Meteorin ilmakehärata:
Alkukorkeus: 107,5 km
Loppukorkeus: 85,4 km
Alkupiste: 59,918N 8,520E
Loppupiste: 59,908N 8,107E
Suunta: 267,5°
Kallistuskulma: 43,8°
Tulonopeus: 45,1 km/s
Radiantin R,A,: 18:34 (278,7°)
Radiantin Dekl,: 37,4°
Meteoriparvi: Sporadinen
Meteoroidin rataelementit:
Perihelietäisyys: 0,972 AU
Eksentrisyys: 0,741
Inklinaatio: 76,6°
Nousevan solmun pituus: 0,3°
Perihelin argumentti: 160,7°
Keskianomalia: 2,0°
Epookki: 2025 MAR 21 01:40:55
orbit plot

Ei-interaktiivinen kuvaaja | Interaktiivinen kuvaaja

position vs time
speed and acceleration