🇳🇴 🇬🇧 🇩🇪 🇨🇿 🇫🇮

Meteor, poloha: Lillesand 2025-03-21 20:09:34 UTC

Soubor KML  |  InteraktivnĂ­ mapa

Mapa zobrazuje dráhy meteoru. Světlejší čáry ukazují směry od pozorovacích stanic při objevení se meteoru a tmavší čáry, kde byl naposledy viděn. Modrá šipka značí viditelnou dráhu meteoru.

static map
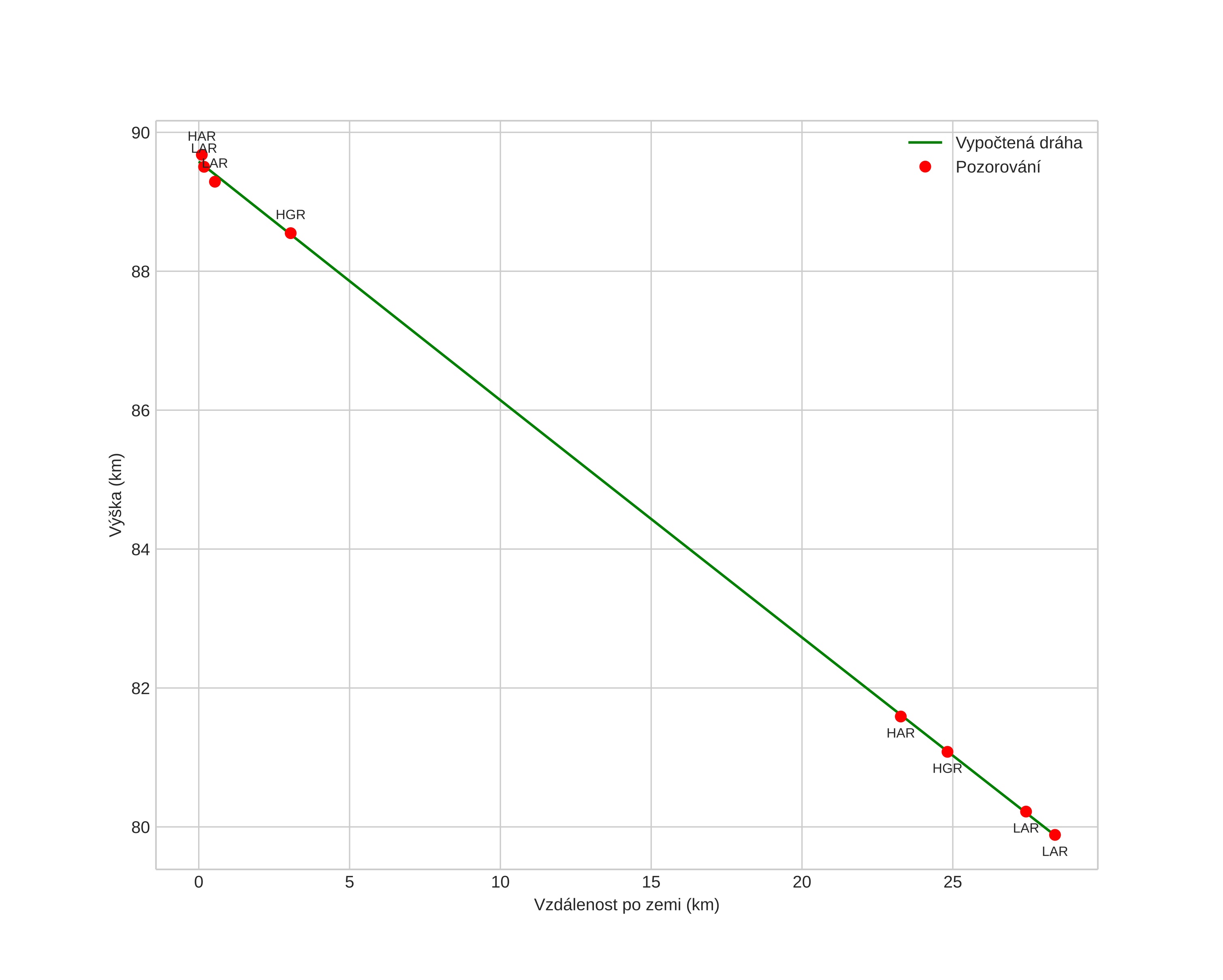
height profile
Atmosférická dráha meteoru:
Počáteční výška: 90,1 km
Konečná výška: 80,9 km
Počáteční poloha: 58,555N 8,347E
Konečná poloha: 58,299N 8,392E
Směr: 174,7°
Sklon: 17,9°
VstupnĂ­ rychlost: 34,9 km/s
Rektascenze radiantu: 21:12 (318,1°)
Deklinace radiantu: 46,8°
MeteorickĂ˝ roj: sporadickĂ˝
Elementy dráhy meteoroidu:
Vzdálenost v periheliu: 0,820 AU
Excentricita: 0,953
Sklon dráhy: 48,1°
Délka vzestupného uzlu: 1,1°
Argument perihelia: 129,5°
Střední anomálie: 0,4°
Epocha: 2025 MAR 21 20:09:34
orbit plot

NeinteraktivnĂ­ graf | InteraktivnĂ­ graf

position vs time
speed and acceleration

Larvik (LAR) cam5


gnomonic
Videa
• Gnomonická
• Gnomonická se souřadnicemi
• Původní
• Původní se souřadnicemi
Obrázky
• Gnomonická
• Gnomonická se souřadnicemi
• Původní
• Původní se souřadnicemi
Textové soubory
• Detekce
• Pozorování
• Souřadnice
• Protokol
Jasnost