🇳🇴 🇬🇧 🇩🇪 🇨🇿 🇫🇮

Meteor Lillesandin yllä 2025-03-21 20:09:34 UTC

KML-tiedosto  |  Interaktiivinen kartta

Kartta näyttää meteorin suuntahavainnot. Vaaleammat viivat näyttävät suunnat havaintoasemilta meteorin ilmestyessä, ja tummemmat viivat näyttävät, missä se viimeksi nähtiin. Sininen nuoli näyttää meteorin näkyvän lennon.

static map
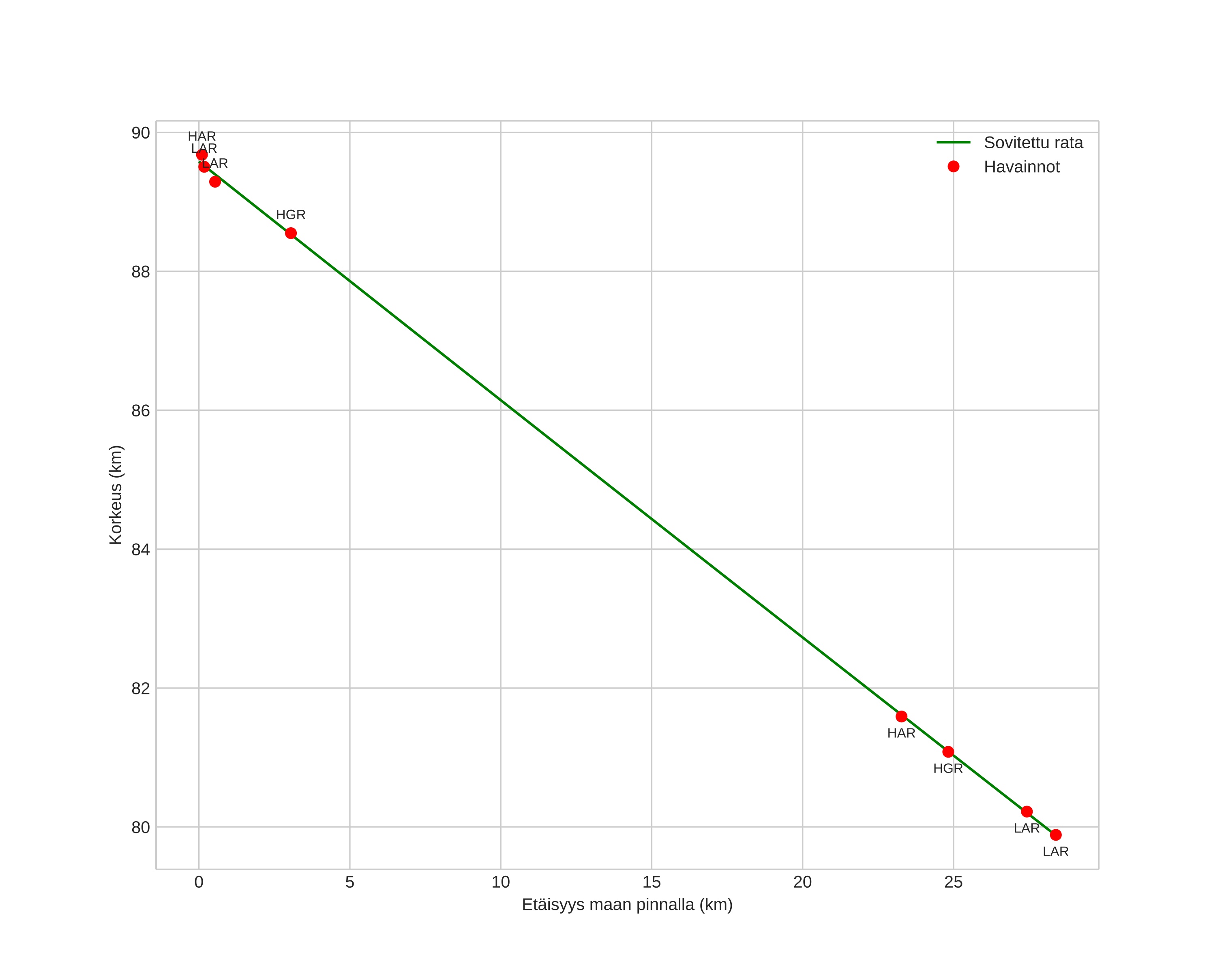
height profile
Meteorin ilmakehärata:
Alkukorkeus: 90,1 km
Loppukorkeus: 80,9 km
Alkupiste: 58,555N 8,347E
Loppupiste: 58,299N 8,392E
Suunta: 174,7°
Kallistuskulma: 17,9°
Tulonopeus: 34,9 km/s
Radiantin R,A,: 21:12 (318,1°)
Radiantin Dekl,: 46,8°
Meteoriparvi: Sporadinen
Meteoroidin rataelementit:
Perihelietäisyys: 0,820 AU
Eksentrisyys: 0,953
Inklinaatio: 48,1°
Nousevan solmun pituus: 1,1°
Perihelin argumentti: 129,5°
Keskianomalia: 0,4°
Epookki: 2025 MAR 21 20:09:34
orbit plot

Ei-interaktiivinen kuvaaja | Interaktiivinen kuvaaja

position vs time
speed and acceleration

Larvik (LAR) cam5


gnomonic
Videot:
• Gnomoninen
• Gnomoninen koordinaateilla
• Alkuperäinen
• Alkuperäinen koordinaateilla
Kuvat:
• Gnomoninen
• Gnomoninen koordinaateilla
• Alkuperäinen
• Alkuperäinen koordinaateilla
Tekstitiedostot:
• Havaintoraportti
• Observaatio
• Koordinaatit
• Loki
Kirkkaus