🇳🇴 🇬🇧 🇩🇪 🇨🇿 🇫🇮

Meteor, poloha: Skjeberg 2025-03-21 22:50:25 UTC

Soubor KML  |  InteraktivnĂ­ mapa

Mapa zobrazuje dráhy meteoru. Světlejší čáry ukazují směry od pozorovacích stanic při objevení se meteoru a tmavší čáry, kde byl naposledy viděn. Modrá šipka značí viditelnou dráhu meteoru.

static map
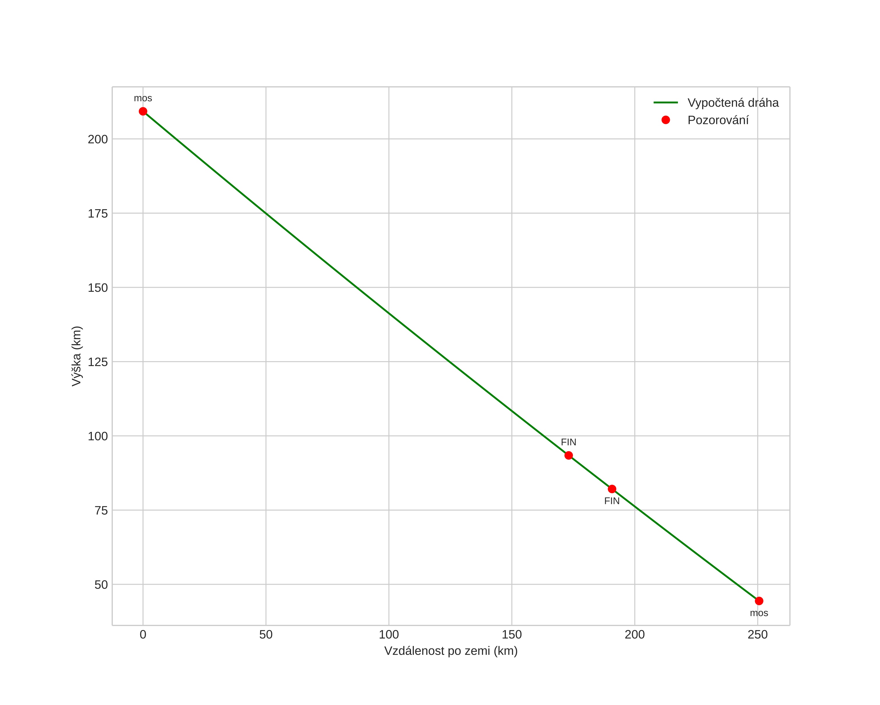
height profile
Atmosférická dráha meteoru:
Počáteční výška: 96,2 km
Konečná výška: 81,8 km
Počáteční poloha: 59,038N 11,351E
Konečná poloha: 59,222N 11,194E
Směr: 336,5°
Sklon: 32,8°
VstupnĂ­ rychlost: 31,8 km/s
Rektascenze radiantu: 12:51 (192,9°)
Deklinace radiantu: 2,1°
MeteorickĂ˝ roj: sporadickĂ˝
Elementy dráhy meteoroidu:
Vzdálenost v periheliu: 0,381 AU
Excentricita: 0,856
Sklon dráhy: 8,2°
Délka vzestupného uzlu: 1,2°
Argument perihelia: 289,8°
Střední anomálie: 350,4°
Epocha: 2025 MAR 21 22:50:25
orbit plot

NeinteraktivnĂ­ graf | InteraktivnĂ­ graf

position vs time
speed and acceleration