🇳🇴 🇬🇧 🇩🇪 🇨🇿 🇫🇮

Meteor Skjebergin yllä 2025-03-21 22:50:25 UTC

KML-tiedosto  |  Interaktiivinen kartta

Kartta näyttää meteorin suuntahavainnot. Vaaleammat viivat näyttävät suunnat havaintoasemilta meteorin ilmestyessä, ja tummemmat viivat näyttävät, missä se viimeksi nähtiin. Sininen nuoli näyttää meteorin näkyvän lennon.

static map
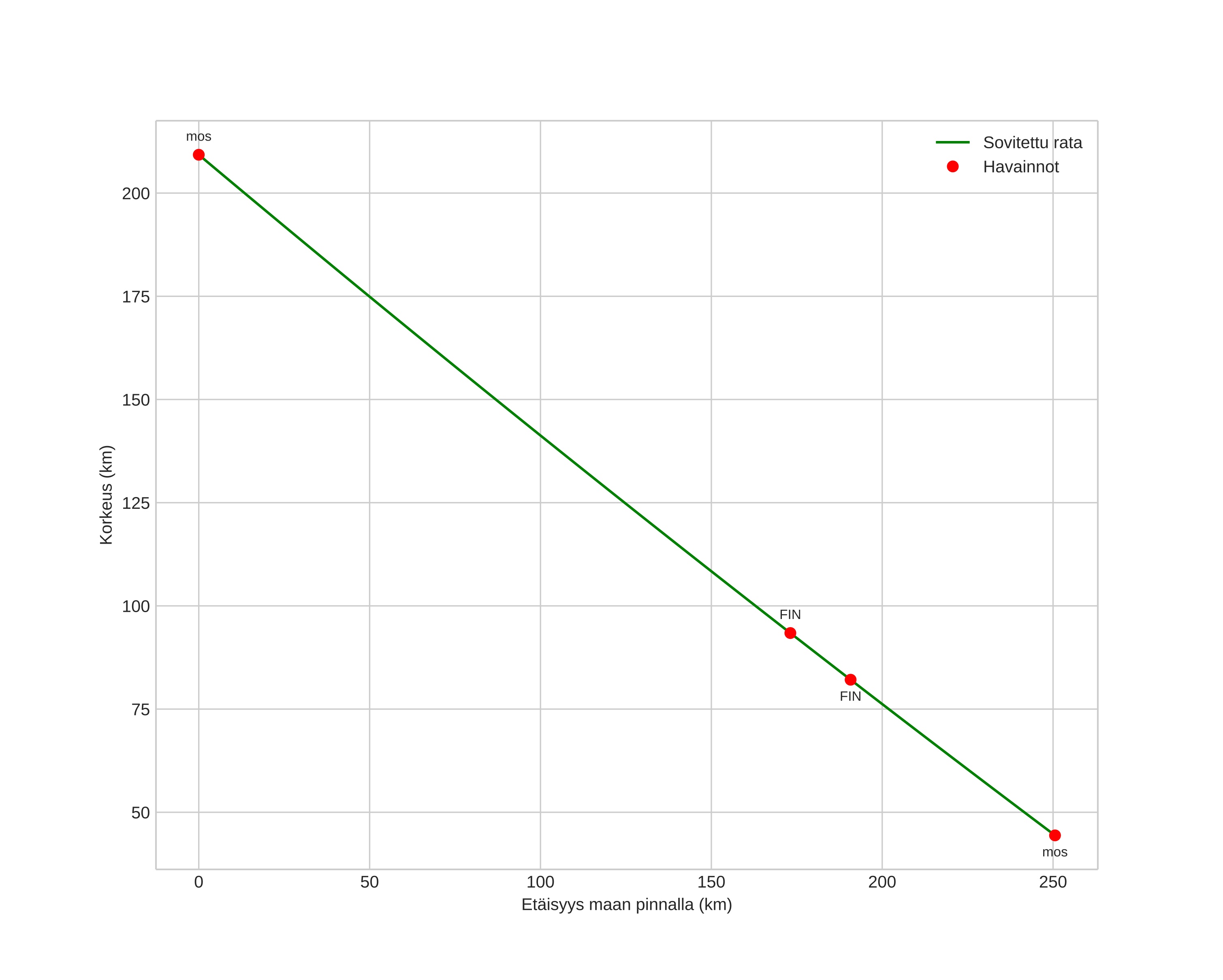
height profile
Meteorin ilmakehärata:
Alkukorkeus: 96,2 km
Loppukorkeus: 81,8 km
Alkupiste: 59,038N 11,351E
Loppupiste: 59,222N 11,194E
Suunta: 336,5°
Kallistuskulma: 32,8°
Tulonopeus: 31,8 km/s
Radiantin R,A,: 12:51 (192,9°)
Radiantin Dekl,: 2,1°
Meteoriparvi: Sporadinen
Meteoroidin rataelementit:
Perihelietäisyys: 0,381 AU
Eksentrisyys: 0,856
Inklinaatio: 8,2°
Nousevan solmun pituus: 1,2°
Perihelin argumentti: 289,8°
Keskianomalia: 350,4°
Epookki: 2025 MAR 21 22:50:25
orbit plot

Ei-interaktiivinen kuvaaja | Interaktiivinen kuvaaja

position vs time
speed and acceleration