🇳🇴 🇬🇧 🇩🇪 🇨🇿 🇫🇮

Meteor, poloha: Koppang 2025-03-22 19:21:21 UTC

Soubor KML  |  InteraktivnĂ­ mapa

Mapa zobrazuje dráhy meteoru. Světlejší čáry ukazují směry od pozorovacích stanic při objevení se meteoru a tmavší čáry, kde byl naposledy viděn. Modrá šipka značí viditelnou dráhu meteoru.

static map
height profile
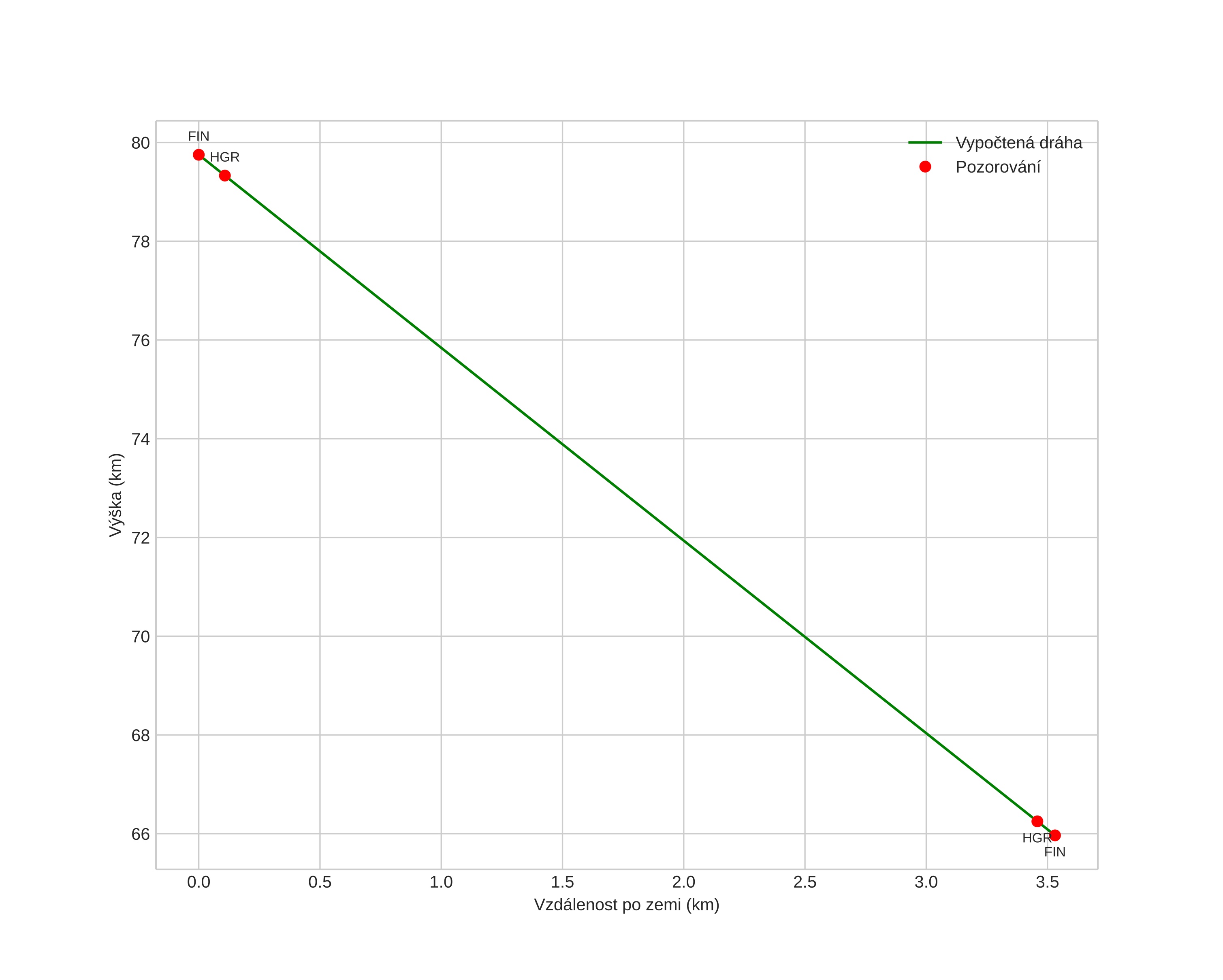
Atmosférická dráha meteoru:
Počáteční výška: 81,8 km
Konečná výška: 65,9 km
Počáteční poloha: 61,646N 10,801E
Konečná poloha: 61,640N 10,725E
Směr: 260,9°
Sklon: 75,6°
VstupnĂ­ rychlost: 16,9 km/s
Rektascenze radiantu: 10:13 (153,4°)
Deklinace radiantu: 60,3°
MeteorickĂ˝ roj: sporadickĂ˝
Elementy dráhy meteoroidu:
Vzdálenost v periheliu: 0,977 AU
Excentricita: 0,669
Sklon dráhy: 13,7°
Délka vzestupného uzlu: 2,1°
Argument perihelia: 198,2°
Střední anomálie: 357,3°
Epocha: 2025 MAR 22 19:21:21
orbit plot

NeinteraktivnĂ­ graf | InteraktivnĂ­ graf

position vs time
speed and acceleration