🇳🇴 🇬🇧 🇩🇪 🇨🇿 🇫🇮

Meteor Koppangin yllä 2025-03-22 19:21:21 UTC

KML-tiedosto  |  Interaktiivinen kartta

Kartta näyttää meteorin suuntahavainnot. Vaaleammat viivat näyttävät suunnat havaintoasemilta meteorin ilmestyessä, ja tummemmat viivat näyttävät, missä se viimeksi nähtiin. Sininen nuoli näyttää meteorin näkyvän lennon.

static map
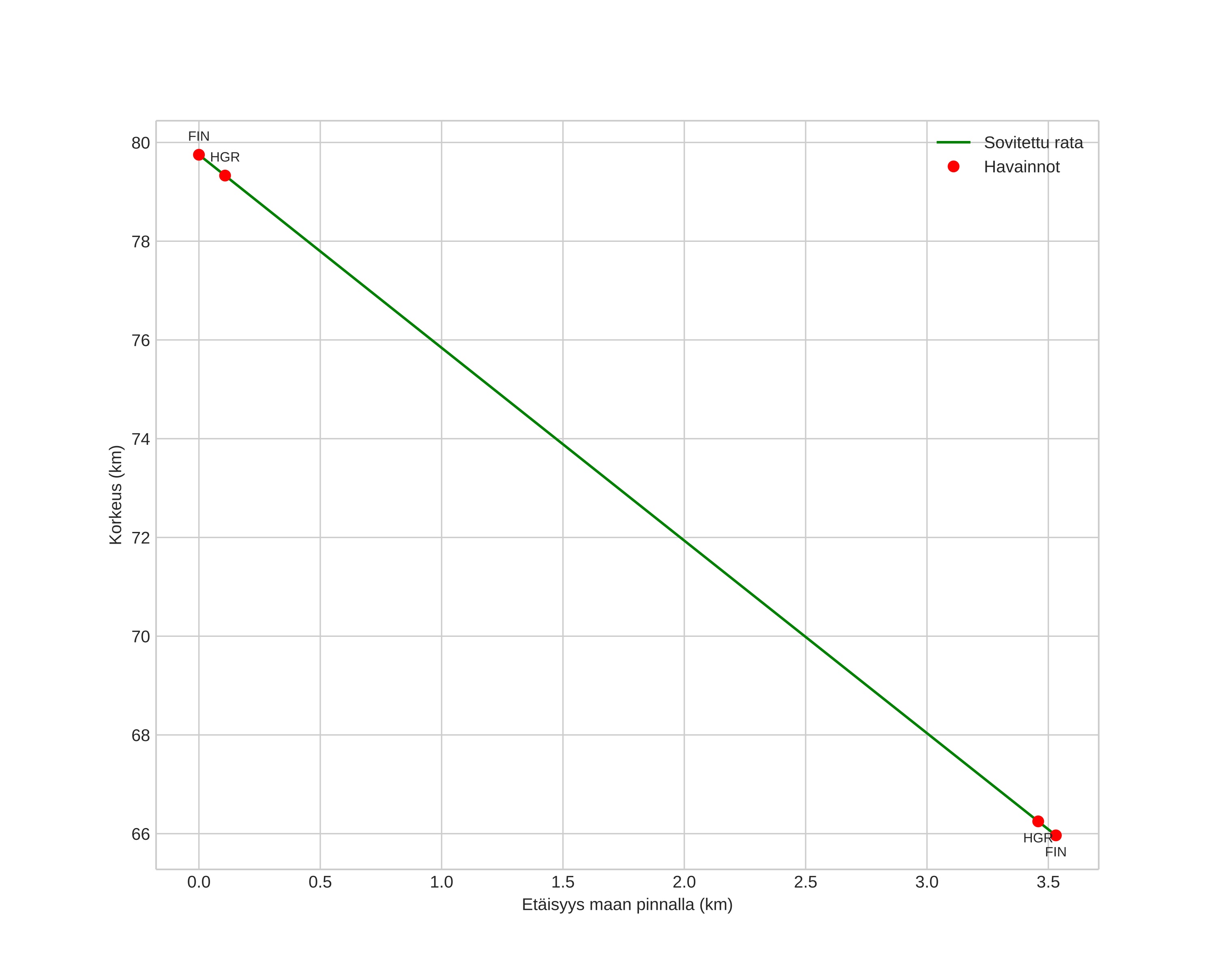
height profile
Meteorin ilmakehärata:
Alkukorkeus: 81,8 km
Loppukorkeus: 65,9 km
Alkupiste: 61,646N 10,801E
Loppupiste: 61,640N 10,725E
Suunta: 260,9°
Kallistuskulma: 75,6°
Tulonopeus: 16,9 km/s
Radiantin R,A,: 10:13 (153,4°)
Radiantin Dekl,: 60,3°
Meteoriparvi: Sporadinen
Meteoroidin rataelementit:
Perihelietäisyys: 0,977 AU
Eksentrisyys: 0,669
Inklinaatio: 13,7°
Nousevan solmun pituus: 2,1°
Perihelin argumentti: 198,2°
Keskianomalia: 357,3°
Epookki: 2025 MAR 22 19:21:21
orbit plot

Ei-interaktiivinen kuvaaja | Interaktiivinen kuvaaja

position vs time
speed and acceleration