🇳🇴 🇬🇧 🇩🇪 🇨🇿 🇫🇮

Meteor, poloha: Halden 2025-03-22 23:44:06 UTC

Soubor KML  |  InteraktivnĂ­ mapa

Mapa zobrazuje dráhy meteoru. Světlejší čáry ukazují směry od pozorovacích stanic při objevení se meteoru a tmavší čáry, kde byl naposledy viděn. Modrá šipka značí viditelnou dráhu meteoru.

static map
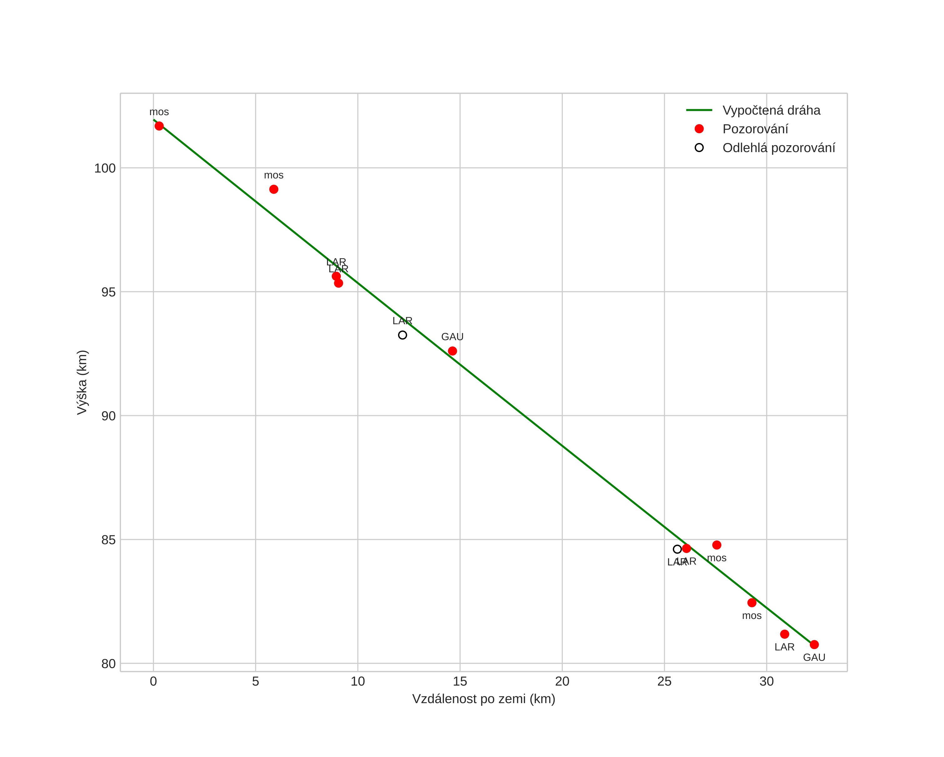
height profile
Atmosférická dráha meteoru:
Počáteční výška: 68,4 km
Konečná výška: 56,1 km
Počáteční poloha: 58,909N 11,316E
Konečná poloha: 59,178N 11,399E
Směr: 9,0°
Sklon: 22,1°
VstupnĂ­ rychlost: 20,1 km/s
Rektascenze radiantu: 11:51 (178,0°)
Deklinace radiantu: -15,5°
MeteorickĂ˝ roj: sporadickĂ˝
Elementy dráhy meteoroidu:
Vzdálenost v periheliu: 0,645 AU
Excentricita: 0,520
Sklon dráhy: 8,4°
Délka vzestupného uzlu: 182,2°
Argument perihelia: 91,8°
Střední anomálie: 325,7°
Epocha: 2025 MAR 22 23:44:06
orbit plot

NeinteraktivnĂ­ graf | InteraktivnĂ­ graf

position vs time
speed and acceleration