🇳🇴 🇬🇧 🇩🇪 🇨🇿 🇫🇮

Meteor Haldenin yllä 2025-03-22 23:44:06 UTC

KML-tiedosto  |  Interaktiivinen kartta

Kartta näyttää meteorin suuntahavainnot. Vaaleammat viivat näyttävät suunnat havaintoasemilta meteorin ilmestyessä, ja tummemmat viivat näyttävät, missä se viimeksi nähtiin. Sininen nuoli näyttää meteorin näkyvän lennon.

static map
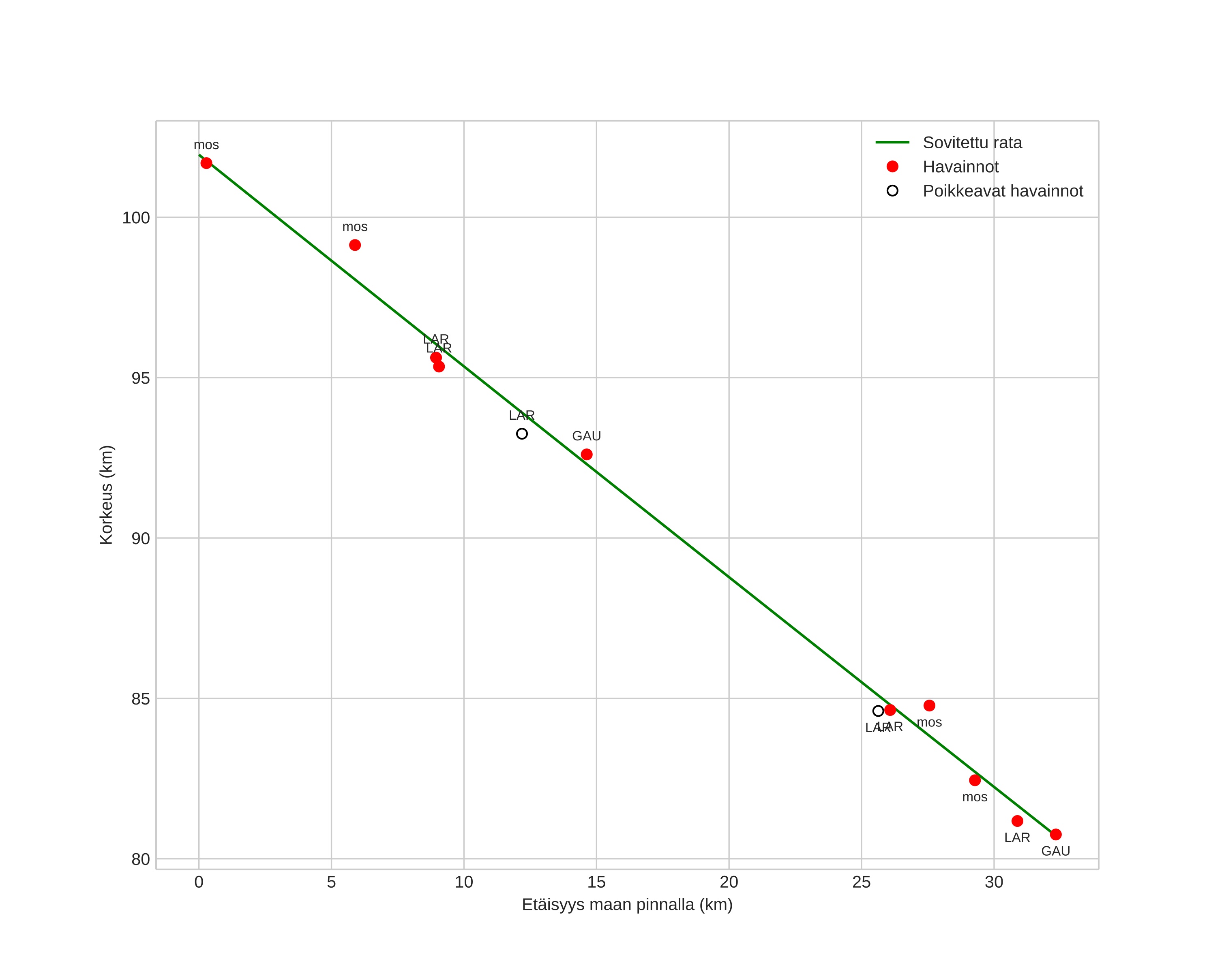
height profile
Meteorin ilmakehärata:
Alkukorkeus: 68,4 km
Loppukorkeus: 56,1 km
Alkupiste: 58,909N 11,316E
Loppupiste: 59,178N 11,399E
Suunta: 9,0°
Kallistuskulma: 22,1°
Tulonopeus: 20,1 km/s
Radiantin R,A,: 11:51 (178,0°)
Radiantin Dekl,: -15,5°
Meteoriparvi: Sporadinen
Meteoroidin rataelementit:
Perihelietäisyys: 0,645 AU
Eksentrisyys: 0,520
Inklinaatio: 8,4°
Nousevan solmun pituus: 182,2°
Perihelin argumentti: 91,8°
Keskianomalia: 325,7°
Epookki: 2025 MAR 22 23:44:06
orbit plot

Ei-interaktiivinen kuvaaja | Interaktiivinen kuvaaja

position vs time
speed and acceleration