🇳🇴 🇬🇧 🇩🇪 🇨🇿 🇫🇮

Meteor, poloha: Källby 2025-03-24 00:28:41 UTC

Soubor KML  |  InteraktivnĂ­ mapa

Mapa zobrazuje dráhy meteoru. Světlejší čáry ukazují směry od pozorovacích stanic při objevení se meteoru a tmavší čáry, kde byl naposledy viděn. Modrá šipka značí viditelnou dráhu meteoru.

static map
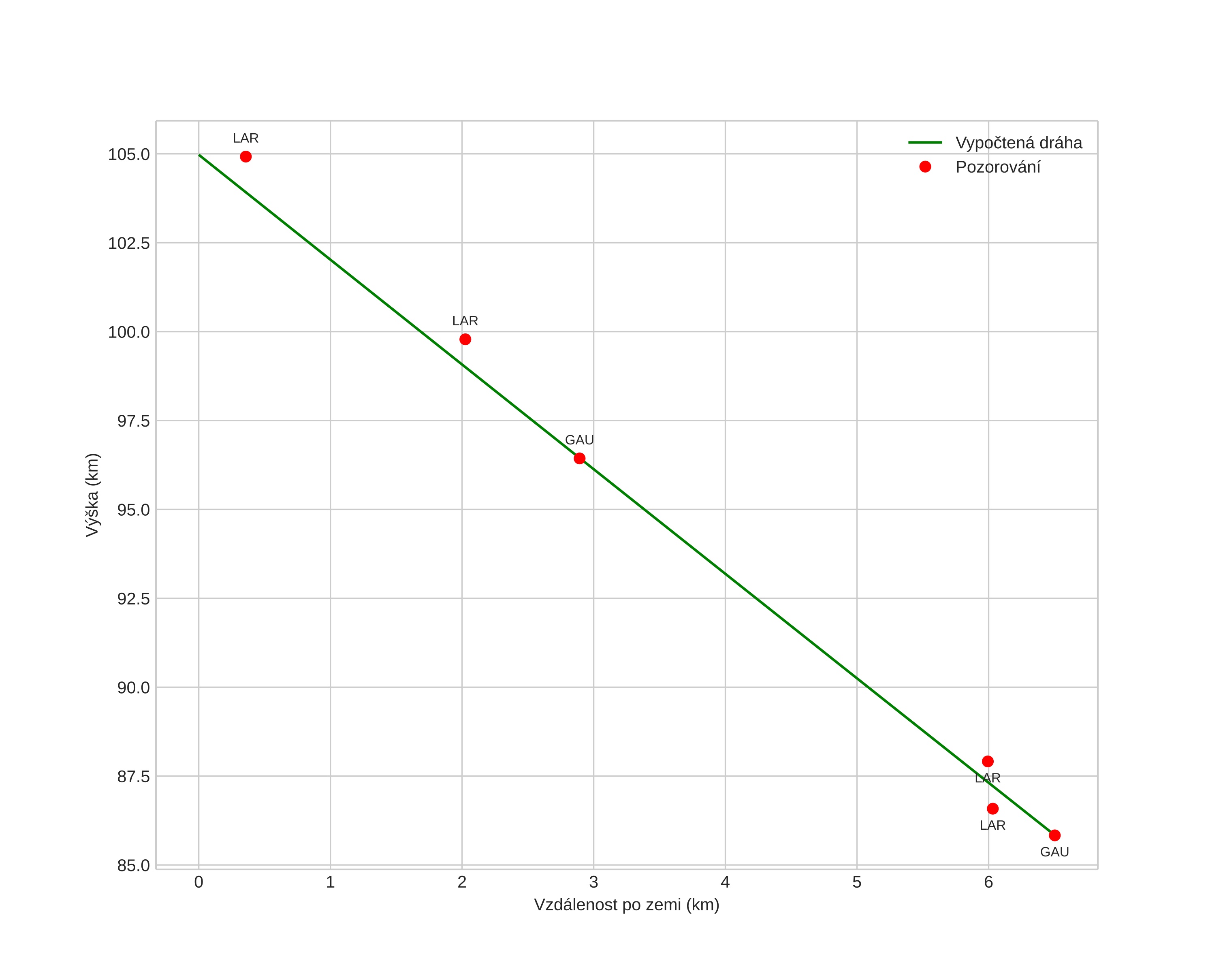
height profile
Atmosférická dráha meteoru:
Počáteční výška: 103,0 km
Konečná výška: 85,4 km
Počáteční poloha: 58,691N 13,278E
Konečná poloha: 58,654N 13,350E
Směr: 134,8°
Sklon: 71,6°
VstupnĂ­ rychlost: 28,3 km/s
Rektascenze radiantu: 10:49 (162,5°)
Deklinace radiantu: 67,7°
MeteorickĂ˝ roj: sporadickĂ˝
Elementy dráhy meteoroidu:
Vzdálenost v periheliu: 0,973 AU
Excentricita: 1,611
Sklon dráhy: 26,2°
Délka vzestupného uzlu: 3,3°
Argument perihelia: 195,9°
Střední anomálie: -4,8°
Epocha: 2025 MAR 24 00:28:41
orbit plot

NeinteraktivnĂ­ graf | InteraktivnĂ­ graf

position vs time
speed and acceleration