🇳🇴 🇬🇧 🇩🇪 🇨🇿 🇫🇮

Meteor Källbyn yllä 2025-03-24 00:28:41 UTC

KML-tiedosto  |  Interaktiivinen kartta

Kartta näyttää meteorin suuntahavainnot. Vaaleammat viivat näyttävät suunnat havaintoasemilta meteorin ilmestyessä, ja tummemmat viivat näyttävät, missä se viimeksi nähtiin. Sininen nuoli näyttää meteorin näkyvän lennon.

static map
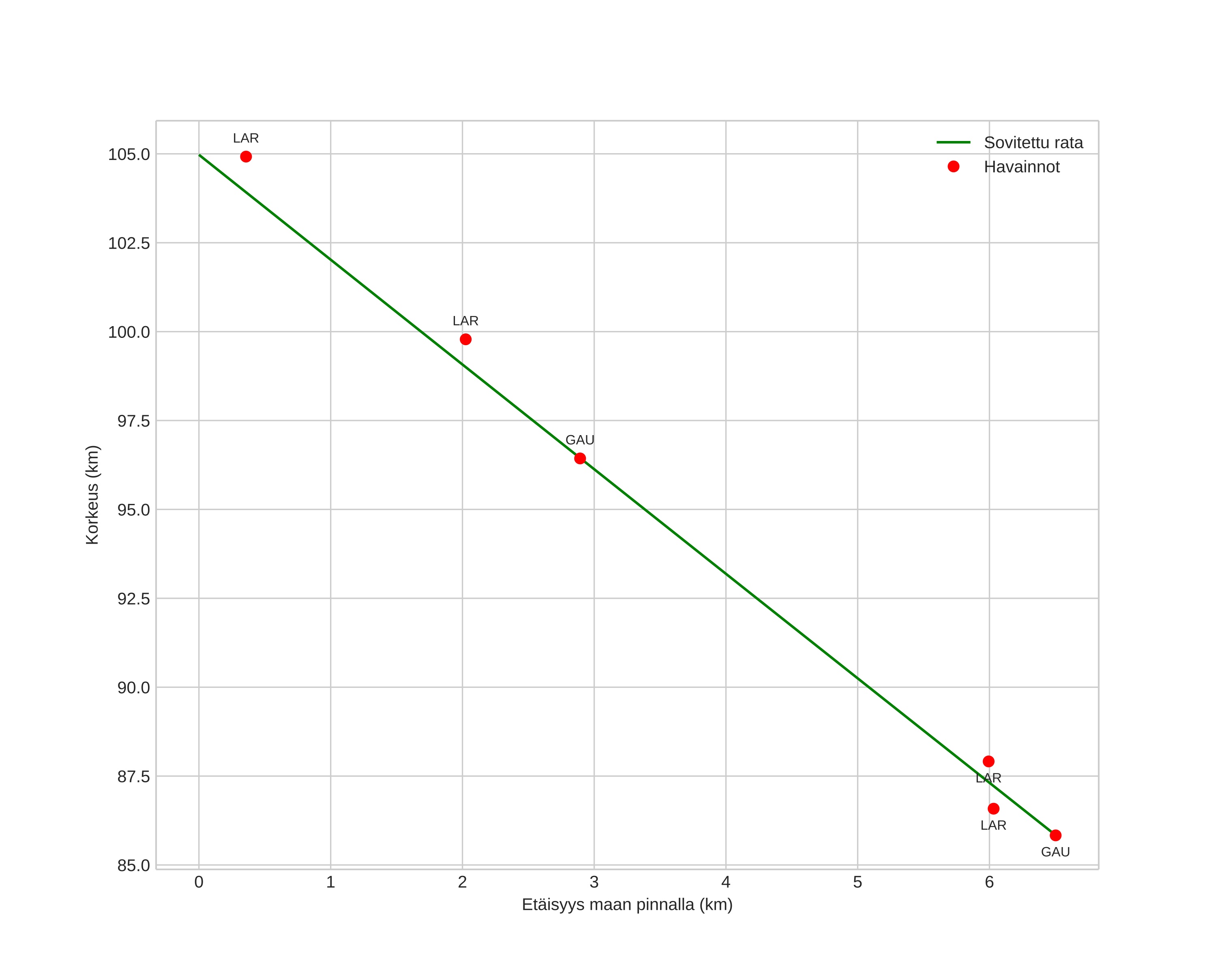
height profile
Meteorin ilmakehärata:
Alkukorkeus: 103,0 km
Loppukorkeus: 85,4 km
Alkupiste: 58,691N 13,278E
Loppupiste: 58,654N 13,350E
Suunta: 134,8°
Kallistuskulma: 71,6°
Tulonopeus: 28,3 km/s
Radiantin R,A,: 10:49 (162,5°)
Radiantin Dekl,: 67,7°
Meteoriparvi: Sporadinen
Meteoroidin rataelementit:
Perihelietäisyys: 0,973 AU
Eksentrisyys: 1,611
Inklinaatio: 26,2°
Nousevan solmun pituus: 3,3°
Perihelin argumentti: 195,9°
Keskianomalia: -4,8°
Epookki: 2025 MAR 24 00:28:41
orbit plot

Ei-interaktiivinen kuvaaja | Interaktiivinen kuvaaja

position vs time
speed and acceleration