🇳🇴 🇬🇧 🇩🇪 🇨🇿 🇫🇮

Meteor, poloha: Torsby 2025-03-24 02:02:04 UTC

Soubor KML  |  InteraktivnĂ­ mapa

Mapa zobrazuje dráhy meteoru. Světlejší čáry ukazují směry od pozorovacích stanic při objevení se meteoru a tmavší čáry, kde byl naposledy viděn. Modrá šipka značí viditelnou dráhu meteoru.

static map
height profile
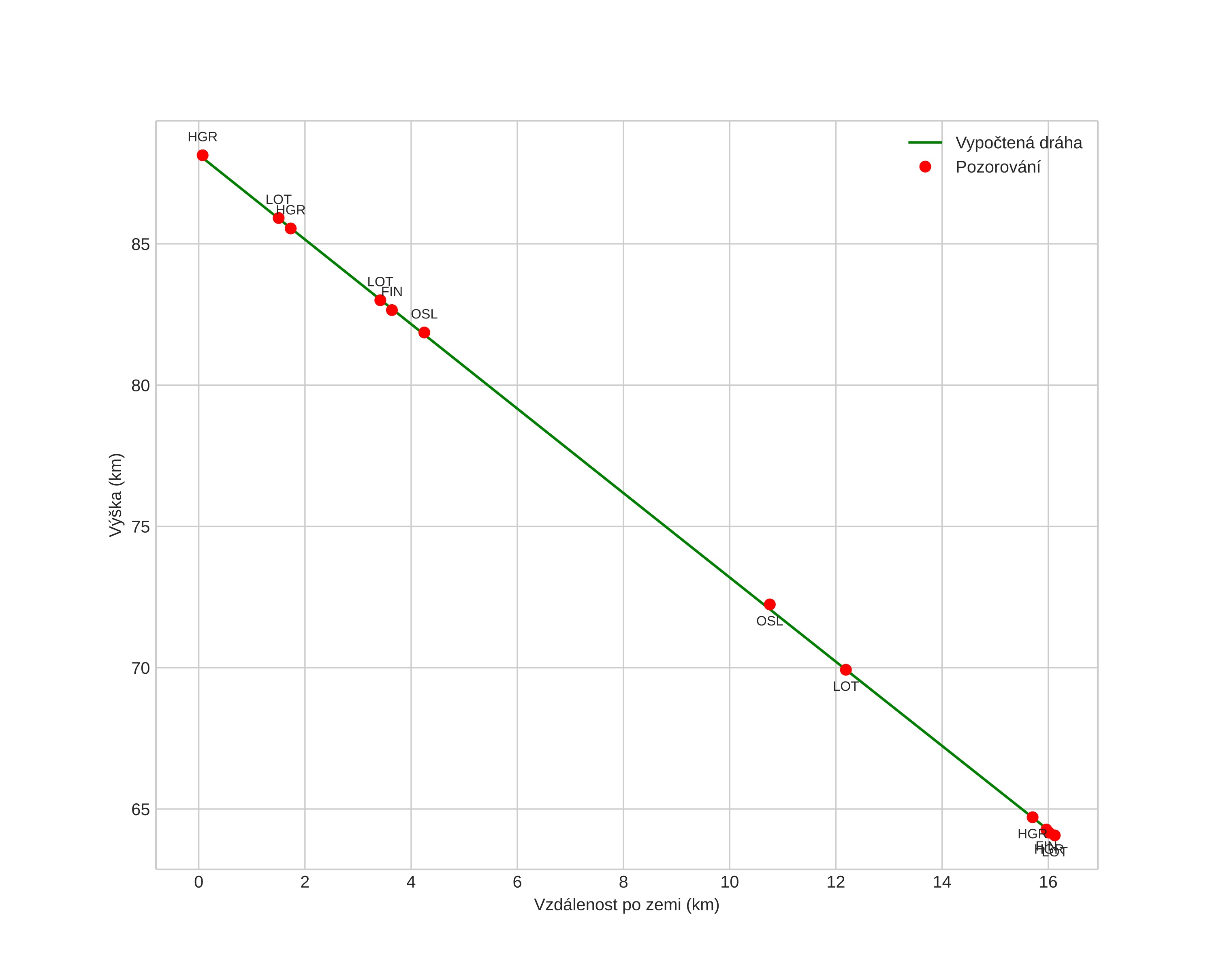
Atmosférická dráha meteoru:
Počáteční výška: 88,2 km
Konečná výška: 63,3 km
Počáteční poloha: 60,536N 12,783E
Konečná poloha: 60,445N 13,022E
Směr: 127,5°
Sklon: 56,4°
VstupnĂ­ rychlost: 15,2 km/s
Rektascenze radiantu: 09:14 (138,5°)
Deklinace radiantu: 58,4°
MeteorickĂ˝ roj: sporadickĂ˝
Elementy dráhy meteoroidu:
Vzdálenost v periheliu: 0,987 AU
Excentricita: 0,605
Sklon dráhy: 10,3°
Délka vzestupného uzlu: 3,3°
Argument perihelia: 193,0°
Střední anomálie: 357,4°
Epocha: 2025 MAR 24 02:02:04
orbit plot

NeinteraktivnĂ­ graf | InteraktivnĂ­ graf

position vs time
speed and acceleration