🇳🇴 🇬🇧 🇩🇪 🇨🇿 🇫🇮

Meteor Torsbyn yllä 2025-03-24 02:02:04 UTC

KML-tiedosto  |  Interaktiivinen kartta

Kartta näyttää meteorin suuntahavainnot. Vaaleammat viivat näyttävät suunnat havaintoasemilta meteorin ilmestyessä, ja tummemmat viivat näyttävät, missä se viimeksi nähtiin. Sininen nuoli näyttää meteorin näkyvän lennon.

static map
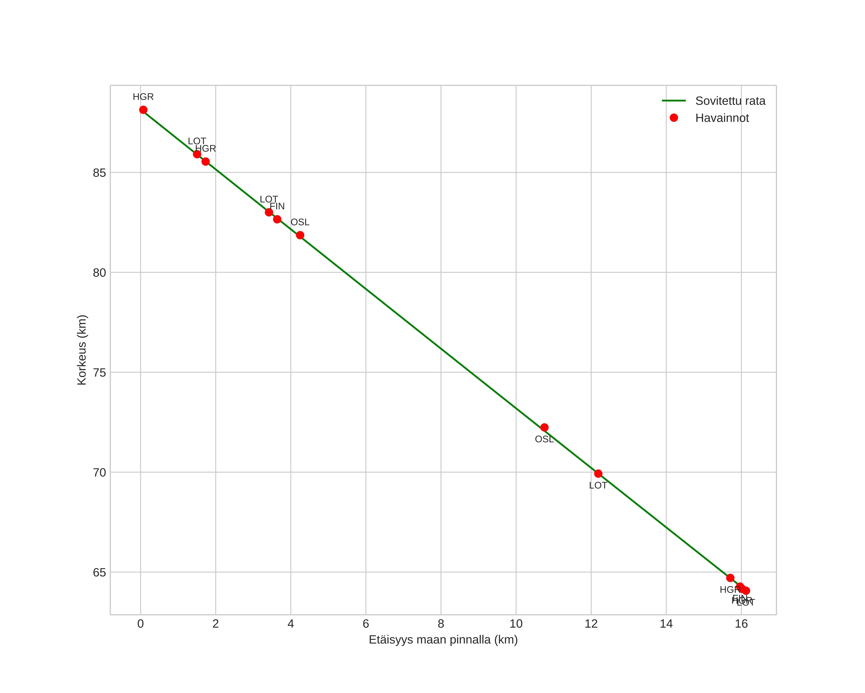
height profile
Meteorin ilmakehärata:
Alkukorkeus: 88,2 km
Loppukorkeus: 63,3 km
Alkupiste: 60,536N 12,783E
Loppupiste: 60,445N 13,022E
Suunta: 127,5°
Kallistuskulma: 56,4°
Tulonopeus: 15,2 km/s
Radiantin R,A,: 09:14 (138,5°)
Radiantin Dekl,: 58,4°
Meteoriparvi: Sporadinen
Meteoroidin rataelementit:
Perihelietäisyys: 0,987 AU
Eksentrisyys: 0,605
Inklinaatio: 10,3°
Nousevan solmun pituus: 3,3°
Perihelin argumentti: 193,0°
Keskianomalia: 357,4°
Epookki: 2025 MAR 24 02:02:04
orbit plot

Ei-interaktiivinen kuvaaja | Interaktiivinen kuvaaja

position vs time
speed and acceleration