🇳🇴 🇬🇧 🇩🇪 🇨🇿 🇫🇮

Meteor, poloha: Moelv 2025-03-25 22:16:34 UTC

Soubor KML  |  InteraktivnĂ­ mapa

Mapa zobrazuje dráhy meteoru. Světlejší čáry ukazují směry od pozorovacích stanic při objevení se meteoru a tmavší čáry, kde byl naposledy viděn. Modrá šipka značí viditelnou dráhu meteoru.

static map
height profile
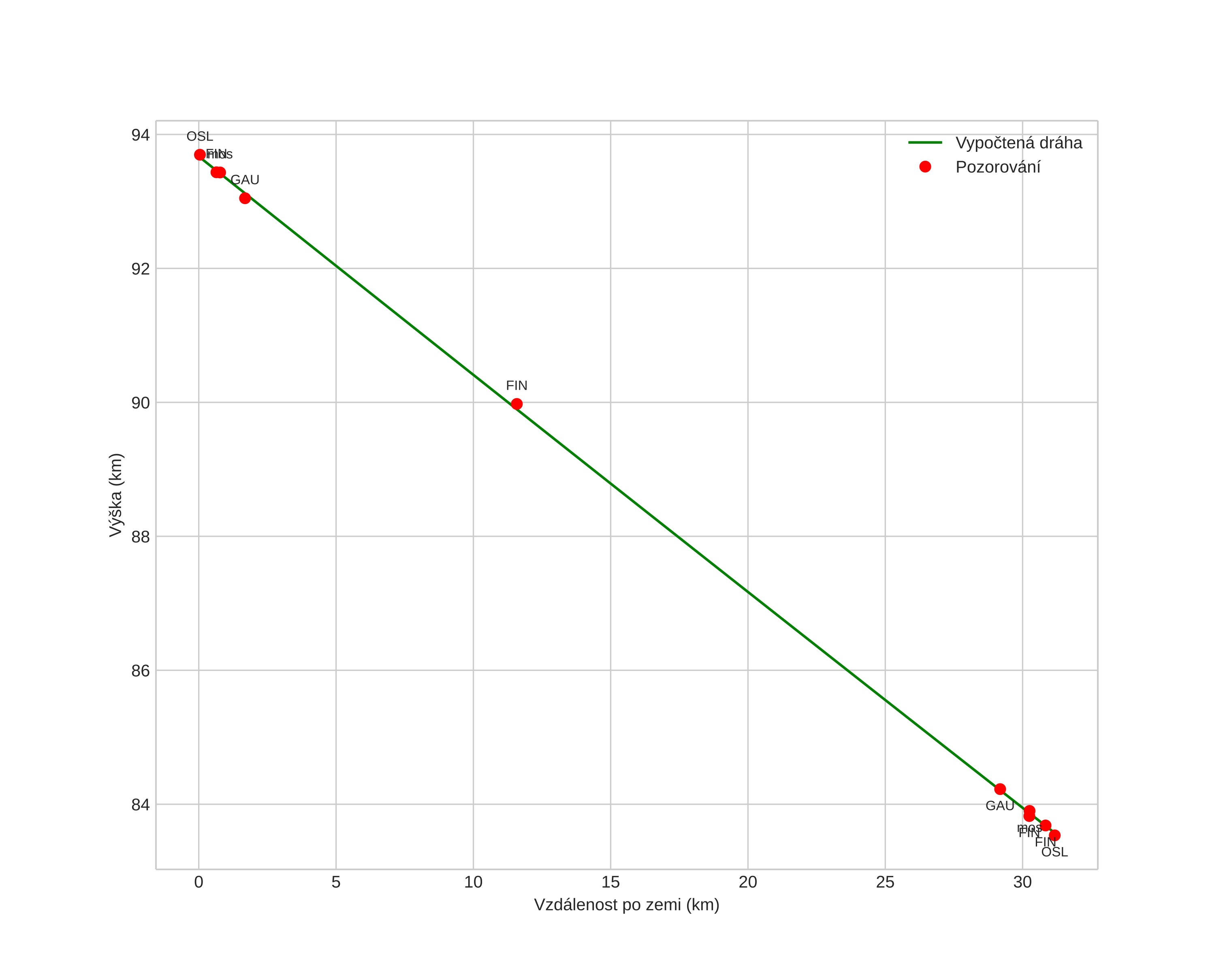
Atmosférická dráha meteoru:
Počáteční výška: 93,7 km
Konečná výška: 83,5 km
Počáteční poloha: 60,758N 10,938E
Konečná poloha: 60,973N 10,571E
Směr: 320,5°
Sklon: 18,1°
VstupnĂ­ rychlost: 44,5 km/s
Rektascenze radiantu: 13:43 (205,8°)
Deklinace radiantu: -6,1°
MeteorickĂ˝ roj: sporadickĂ˝
Elementy dráhy meteoroidu:
Vzdálenost v periheliu: 0,124 AU
Excentricita: 1,000
Sklon dráhy: 12,4°
Délka vzestupného uzlu: 5,2°
Argument perihelia: 318,7°
Střední anomálie: 360,0°
Epocha: 2025 MAR 25 22:16:34
orbit plot

NeinteraktivnĂ­ graf | InteraktivnĂ­ graf

position vs time
speed and acceleration