🇳🇴 🇬🇧 🇩🇪 🇨🇿 🇫🇮

Meteor Moelvin yllä 2025-03-25 22:16:34 UTC

KML-tiedosto  |  Interaktiivinen kartta

Kartta näyttää meteorin suuntahavainnot. Vaaleammat viivat näyttävät suunnat havaintoasemilta meteorin ilmestyessä, ja tummemmat viivat näyttävät, missä se viimeksi nähtiin. Sininen nuoli näyttää meteorin näkyvän lennon.

static map
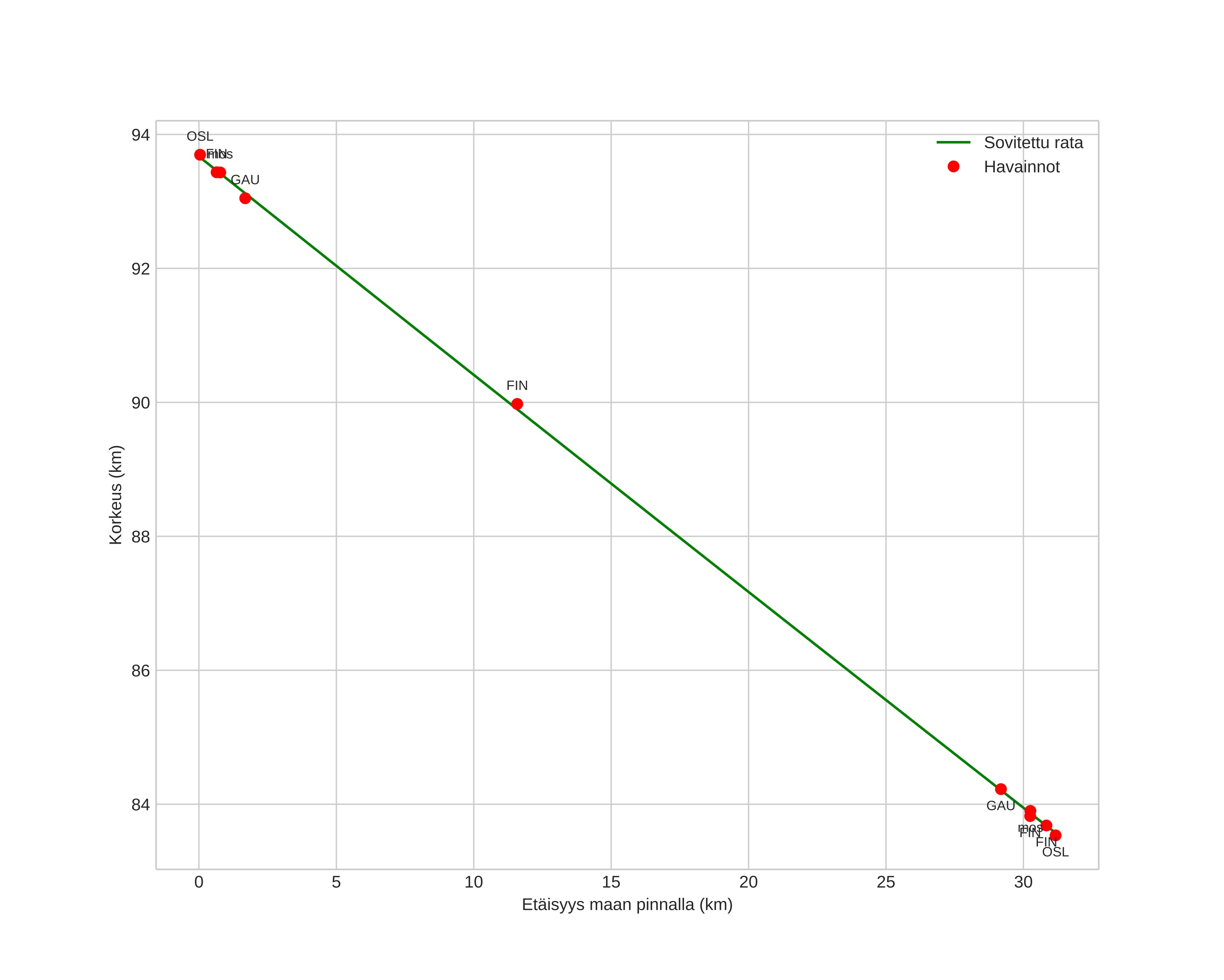
height profile
Meteorin ilmakehärata:
Alkukorkeus: 93,7 km
Loppukorkeus: 83,5 km
Alkupiste: 60,758N 10,938E
Loppupiste: 60,973N 10,571E
Suunta: 320,5°
Kallistuskulma: 18,1°
Tulonopeus: 44,5 km/s
Radiantin R,A,: 13:43 (205,8°)
Radiantin Dekl,: -6,1°
Meteoriparvi: Sporadinen
Meteoroidin rataelementit:
Perihelietäisyys: 0,124 AU
Eksentrisyys: 1,000
Inklinaatio: 12,4°
Nousevan solmun pituus: 5,2°
Perihelin argumentti: 318,7°
Keskianomalia: 360,0°
Epookki: 2025 MAR 25 22:16:34
orbit plot

Ei-interaktiivinen kuvaaja | Interaktiivinen kuvaaja

position vs time
speed and acceleration