🇳🇴 🇬🇧 🇩🇪 🇨🇿 🇫🇮

Meteor, poloha: Rollag 2025-03-26 01:10:11 UTC

Soubor KML  |  InteraktivnĂ­ mapa

Mapa zobrazuje dráhy meteoru. Světlejší čáry ukazují směry od pozorovacích stanic při objevení se meteoru a tmavší čáry, kde byl naposledy viděn. Modrá šipka značí viditelnou dráhu meteoru.

static map
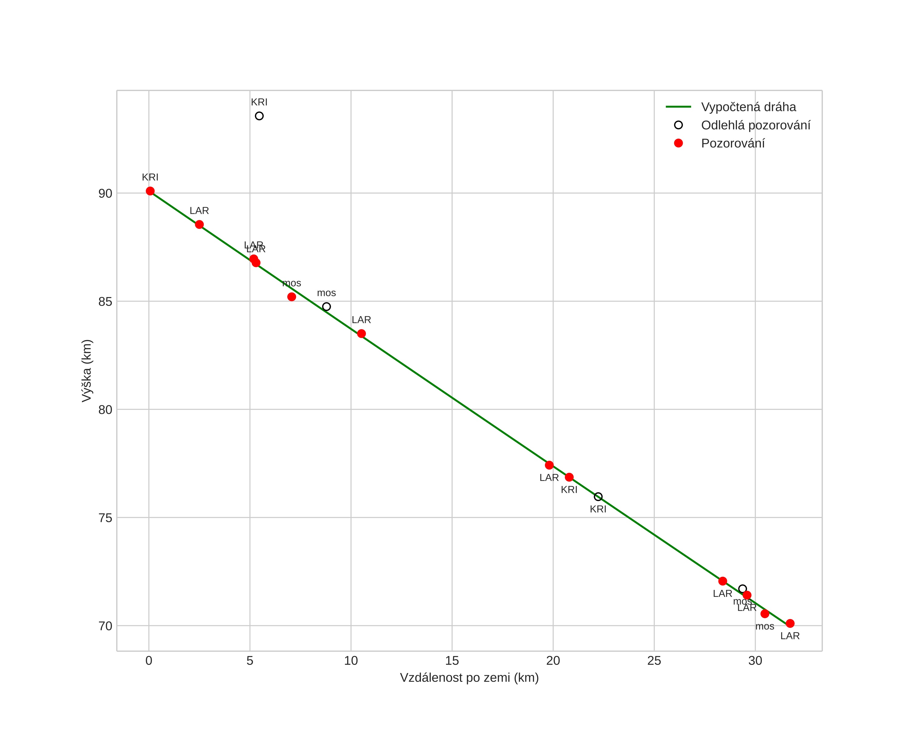
height profile
Atmosférická dráha meteoru:
Počáteční výška: 92,3 km
Konečná výška: 69,1 km
Počáteční poloha: 59,576N 9,067E
Konečná poloha: 59,872N 9,310E
Směr: 22,4°
Sklon: 33,1°
VstupnĂ­ rychlost: 27,8 km/s
Rektascenze radiantu: 12:41 (190,3°)
Deklinace radiantu: 2,0°
MeteorickĂ˝ roj: sporadickĂ˝
Elementy dráhy meteoroidu:
Vzdálenost v periheliu: 0,504 AU
Excentricita: 0,804
Sklon dráhy: 5,3°
Délka vzestupného uzlu: 5,3°
Argument perihelia: 276,3°
Střední anomálie: 349,4°
Epocha: 2025 MAR 26 01:10:11
orbit plot

NeinteraktivnĂ­ graf | InteraktivnĂ­ graf

position vs time
speed and acceleration