🇳🇴 🇬🇧 🇩🇪 🇨🇿 🇫🇮

Meteor Rollagin yllä 2025-03-26 01:10:11 UTC

KML-tiedosto  |  Interaktiivinen kartta

Kartta näyttää meteorin suuntahavainnot. Vaaleammat viivat näyttävät suunnat havaintoasemilta meteorin ilmestyessä, ja tummemmat viivat näyttävät, missä se viimeksi nähtiin. Sininen nuoli näyttää meteorin näkyvän lennon.

static map
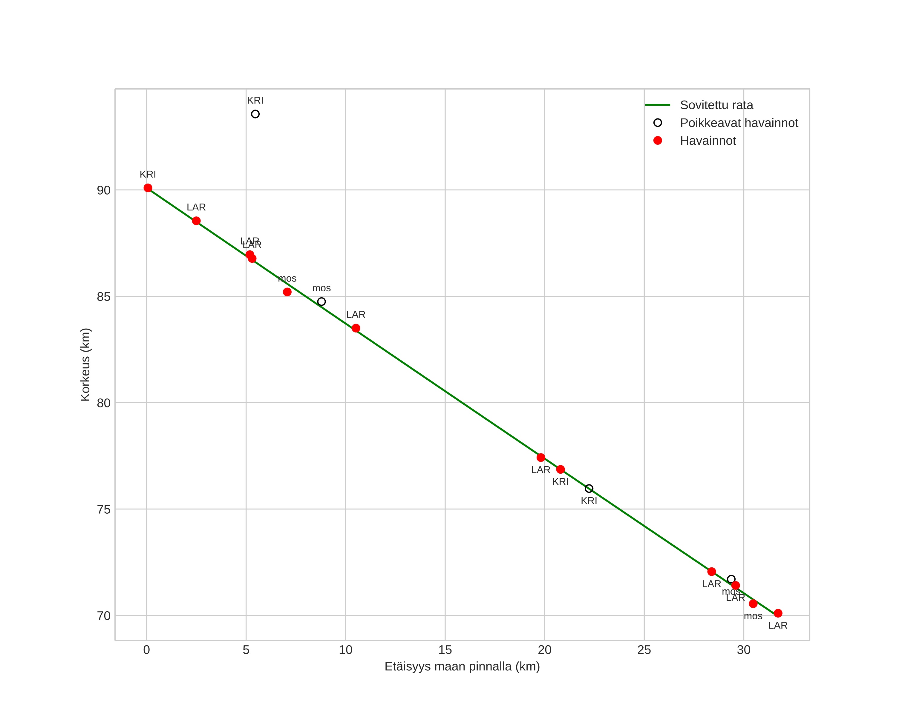
height profile
Meteorin ilmakehärata:
Alkukorkeus: 92,3 km
Loppukorkeus: 69,1 km
Alkupiste: 59,576N 9,067E
Loppupiste: 59,872N 9,310E
Suunta: 22,4°
Kallistuskulma: 33,1°
Tulonopeus: 27,8 km/s
Radiantin R,A,: 12:41 (190,3°)
Radiantin Dekl,: 2,0°
Meteoriparvi: Sporadinen
Meteoroidin rataelementit:
Perihelietäisyys: 0,504 AU
Eksentrisyys: 0,804
Inklinaatio: 5,3°
Nousevan solmun pituus: 5,3°
Perihelin argumentti: 276,3°
Keskianomalia: 349,4°
Epookki: 2025 MAR 26 01:10:11
orbit plot

Ei-interaktiivinen kuvaaja | Interaktiivinen kuvaaja

position vs time
speed and acceleration