🇳🇴 🇬🇧 🇩🇪 🇨🇿 🇫🇮

Meteor, poloha: Bagn 2025-03-30 19:34:39 UTC

Soubor KML  |  InteraktivnĂ­ mapa

Mapa zobrazuje dráhy meteoru. Světlejší čáry ukazují směry od pozorovacích stanic při objevení se meteoru a tmavší čáry, kde byl naposledy viděn. Modrá šipka značí viditelnou dráhu meteoru.

static map
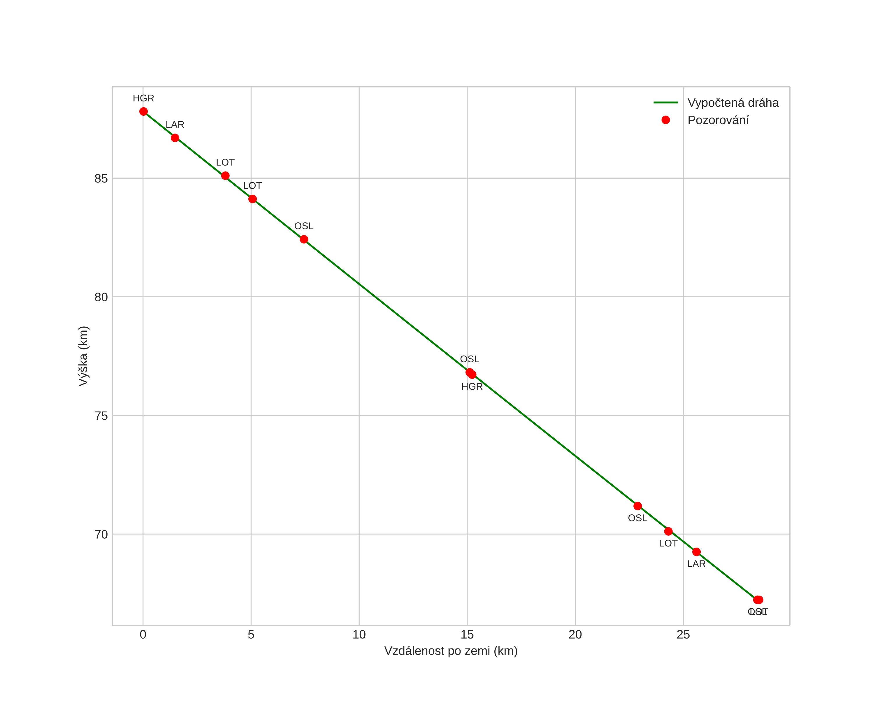
height profile
Atmosférická dráha meteoru:
Počáteční výška: 90,0 km
Konečná výška: 67,2 km
Počáteční poloha: 60,503N 10,088E
Konečná poloha: 60,654N 9,607E
Směr: 302,8°
Sklon: 36,1°
VstupnĂ­ rychlost: 19,0 km/s
Rektascenze radiantu: 11:56 (179,2°)
Deklinace radiantu: 12,0°
MeteorickĂ˝ roj: sporadickĂ˝
Elementy dráhy meteoroidu:
Vzdálenost v periheliu: 0,806 AU
Excentricita: 0,607
Sklon dráhy: 4,8°
Délka vzestupného uzlu: 10,0°
Argument perihelia: 240,8°
Střední anomálie: 346,3°
Epocha: 2025 MAR 30 19:34:39
orbit plot

NeinteraktivnĂ­ graf | InteraktivnĂ­ graf

position vs time
speed and acceleration