🇳🇴 🇬🇧 🇩🇪 🇨🇿 🇫🇮

Meteor Bagnin yllä 2025-03-30 19:34:39 UTC

KML-tiedosto  |  Interaktiivinen kartta

Kartta näyttää meteorin suuntahavainnot. Vaaleammat viivat näyttävät suunnat havaintoasemilta meteorin ilmestyessä, ja tummemmat viivat näyttävät, missä se viimeksi nähtiin. Sininen nuoli näyttää meteorin näkyvän lennon.

static map
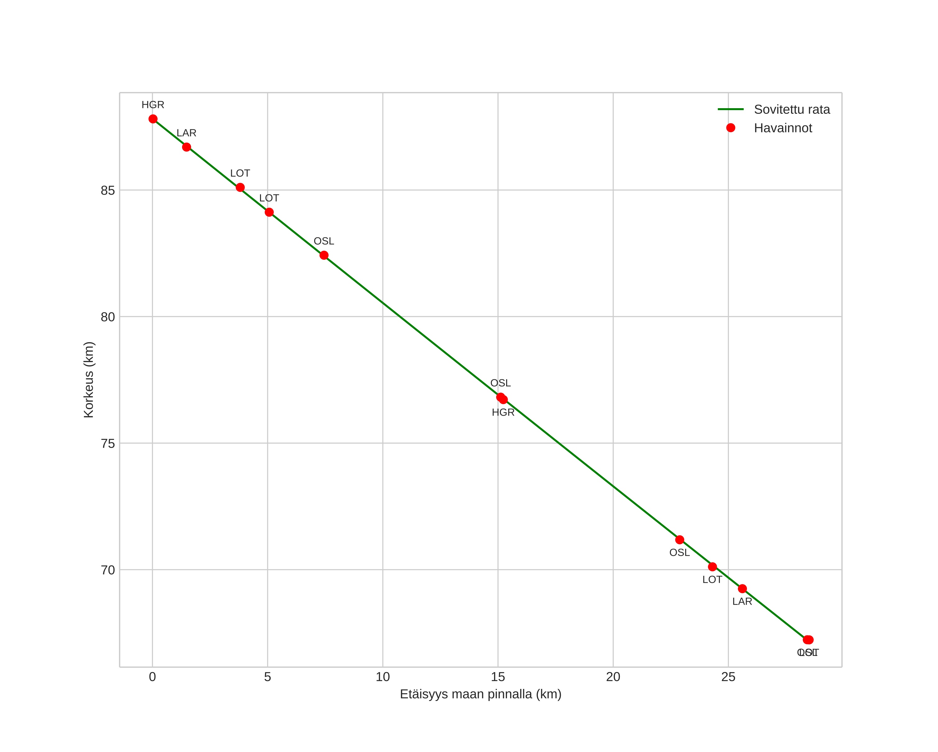
height profile
Meteorin ilmakehärata:
Alkukorkeus: 90,0 km
Loppukorkeus: 67,2 km
Alkupiste: 60,503N 10,088E
Loppupiste: 60,654N 9,607E
Suunta: 302,8°
Kallistuskulma: 36,1°
Tulonopeus: 19,0 km/s
Radiantin R,A,: 11:56 (179,2°)
Radiantin Dekl,: 12,0°
Meteoriparvi: Sporadinen
Meteoroidin rataelementit:
Perihelietäisyys: 0,806 AU
Eksentrisyys: 0,607
Inklinaatio: 4,8°
Nousevan solmun pituus: 10,0°
Perihelin argumentti: 240,8°
Keskianomalia: 346,3°
Epookki: 2025 MAR 30 19:34:39
orbit plot

Ei-interaktiivinen kuvaaja | Interaktiivinen kuvaaja

position vs time
speed and acceleration