🇳🇴 🇬🇧 🇩🇪 🇨🇿 🇫🇮

Meteor, poloha: Järna 2025-03-30 21:10:51 UTC

Soubor KML  |  InteraktivnĂ­ mapa

Mapa zobrazuje dráhy meteoru. Světlejší čáry ukazují směry od pozorovacích stanic při objevení se meteoru a tmavší čáry, kde byl naposledy viděn. Modrá šipka značí viditelnou dráhu meteoru.

static map
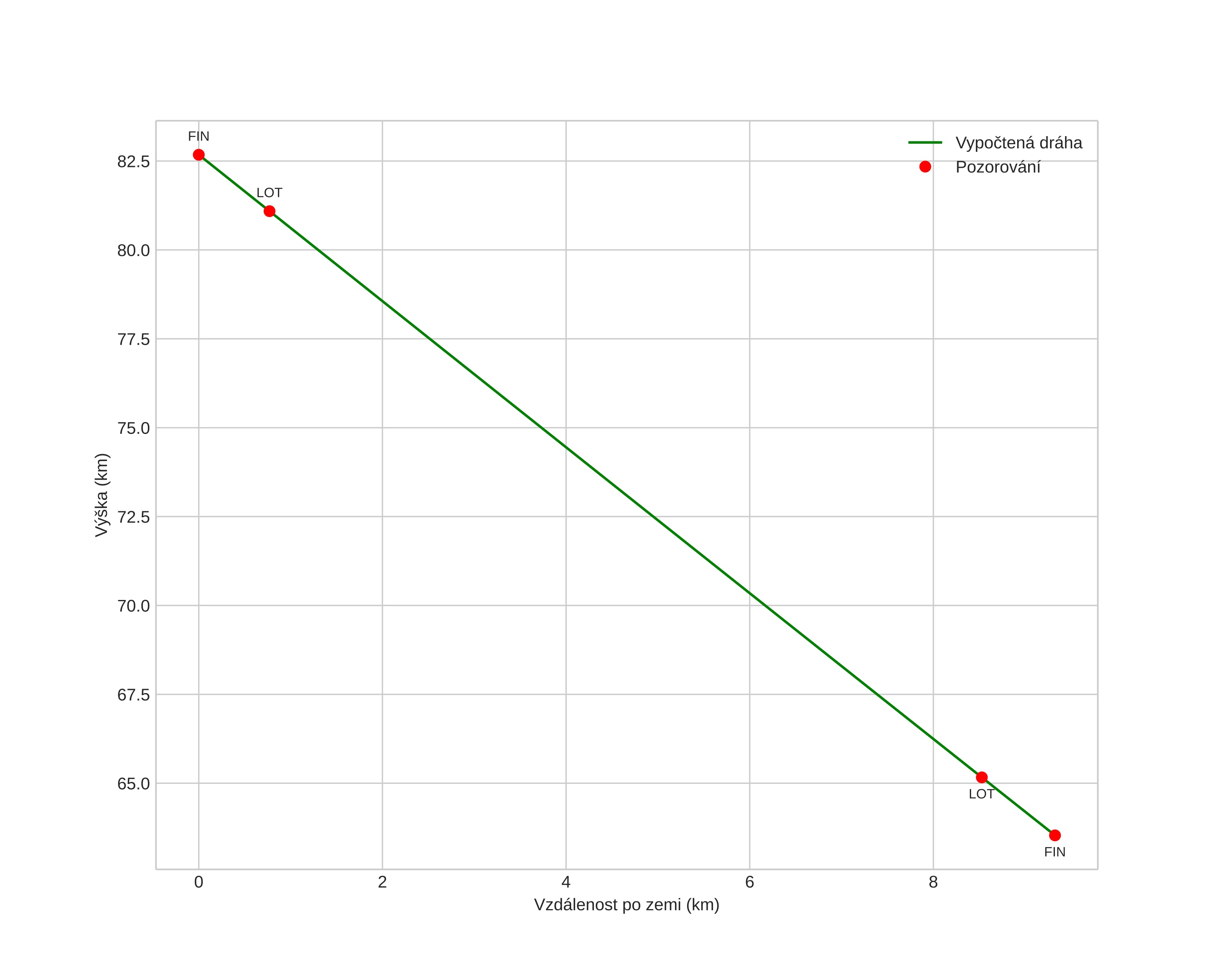
height profile
Atmosférická dráha meteoru:
Počáteční výška: 82,9 km
Konečná výška: 63,2 km
Počáteční poloha: 60,255N 14,253E
Konečná poloha: 60,264N 14,409E
Směr: 83,1°
Sklon: 66,3°
VstupnĂ­ rychlost: 15,2 km/s
Rektascenze radiantu: 07:40 (115,0°)
Deklinace radiantu: 46,9°
MeteorickĂ˝ roj: sporadickĂ˝
Elementy dráhy meteoroidu:
Vzdálenost v periheliu: 0,998 AU
Excentricita: 0,762
Sklon dráhy: 6,5°
Délka vzestupného uzlu: 10,1°
Argument perihelia: 183,1°
Střední anomálie: 359,7°
Epocha: 2025 MAR 30 21:10:51
orbit plot

NeinteraktivnĂ­ graf | InteraktivnĂ­ graf

position vs time
speed and acceleration