🇳🇴 🇬🇧 🇩🇪 🇨🇿 🇫🇮

Meteor Järnan yllä 2025-03-30 21:10:51 UTC

KML-tiedosto  |  Interaktiivinen kartta

Kartta näyttää meteorin suuntahavainnot. Vaaleammat viivat näyttävät suunnat havaintoasemilta meteorin ilmestyessä, ja tummemmat viivat näyttävät, missä se viimeksi nähtiin. Sininen nuoli näyttää meteorin näkyvän lennon.

static map
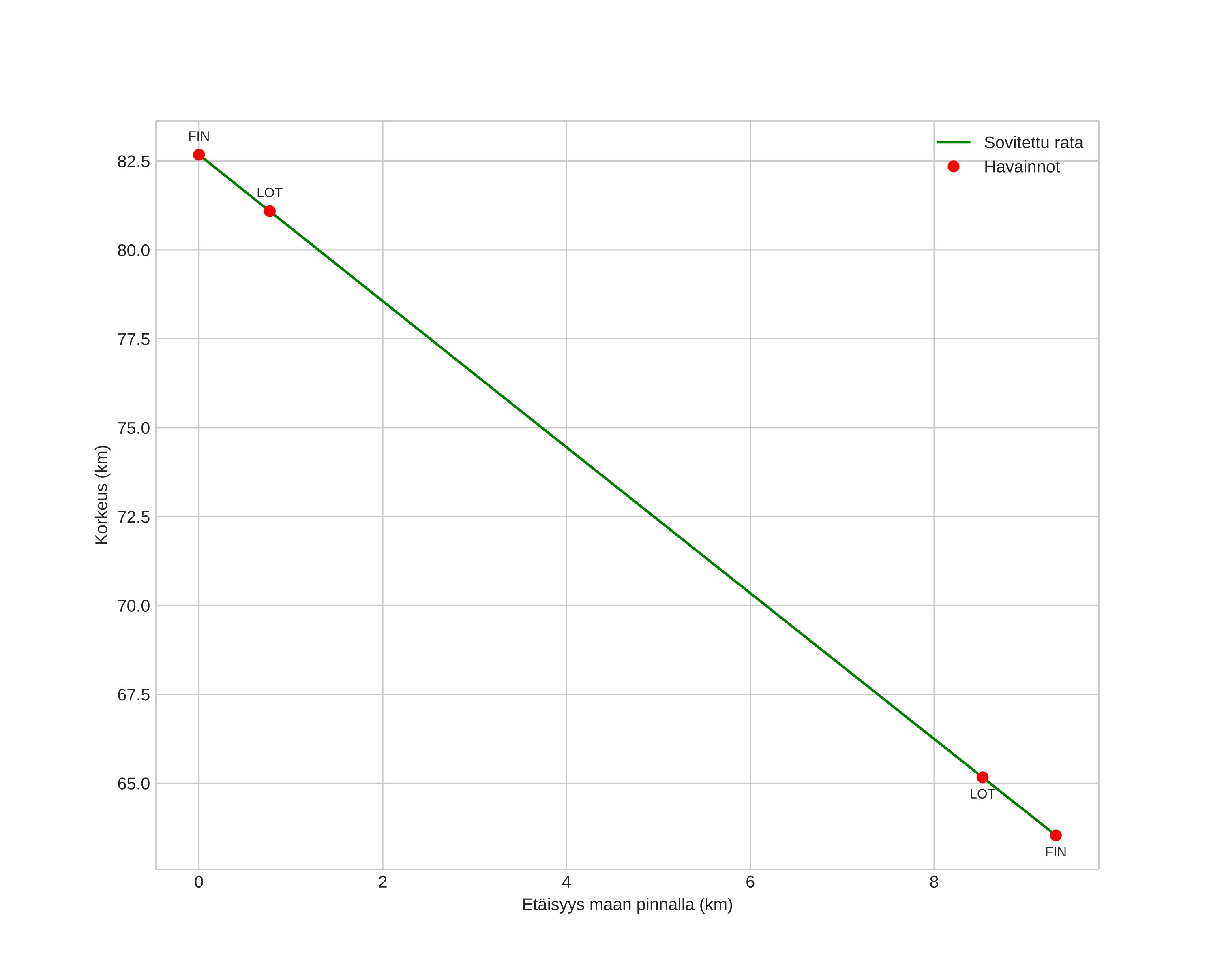
height profile
Meteorin ilmakehärata:
Alkukorkeus: 82,9 km
Loppukorkeus: 63,2 km
Alkupiste: 60,255N 14,253E
Loppupiste: 60,264N 14,409E
Suunta: 83,1°
Kallistuskulma: 66,3°
Tulonopeus: 15,2 km/s
Radiantin R,A,: 07:40 (115,0°)
Radiantin Dekl,: 46,9°
Meteoriparvi: Sporadinen
Meteoroidin rataelementit:
Perihelietäisyys: 0,998 AU
Eksentrisyys: 0,762
Inklinaatio: 6,5°
Nousevan solmun pituus: 10,1°
Perihelin argumentti: 183,1°
Keskianomalia: 359,7°
Epookki: 2025 MAR 30 21:10:51
orbit plot

Ei-interaktiivinen kuvaaja | Interaktiivinen kuvaaja

position vs time
speed and acceleration