🇳🇴 🇬🇧 🇩🇪 🇨🇿 🇫🇮

Meteor, poloha: Torsby 2025-04-01 20:53:20 UTC

Soubor KML  |  InteraktivnĂ­ mapa

Mapa zobrazuje dráhy meteoru. Světlejší čáry ukazují směry od pozorovacích stanic při objevení se meteoru a tmavší čáry, kde byl naposledy viděn. Modrá šipka značí viditelnou dráhu meteoru.

static map
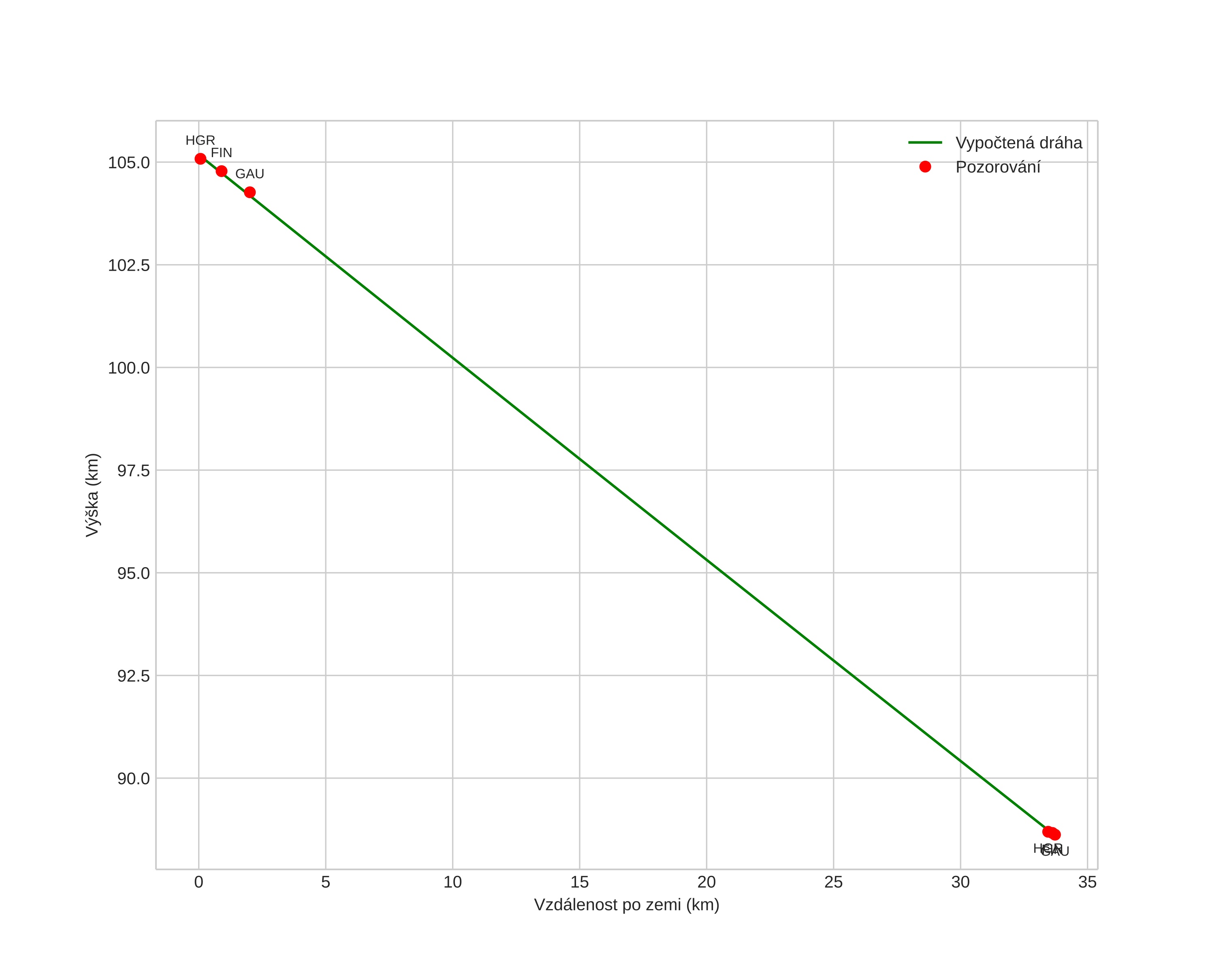
height profile
Atmosférická dráha meteoru:
Počáteční výška: 106,2 km
Konečná výška: 88,3 km
Počáteční poloha: 60,455N 13,358E
Konečná poloha: 60,247N 12,870E
Směr: 229,4°
Sklon: 26,8°
VstupnĂ­ rychlost: 44,2 km/s
Rektascenze radiantu: 18:01 (270,5°)
Deklinace radiantu: 41,9°
MeteorickĂ˝ roj: sporadickĂ˝
Elementy dráhy meteoroidu:
Vzdálenost v periheliu: 0,994 AU
Excentricita: 0,874
Sklon dráhy: 72,3°
Délka vzestupného uzlu: 12,0°
Argument perihelia: 188,9°
Střední anomálie: 359,7°
Epocha: 2025 APR 01 20:53:20
orbit plot

NeinteraktivnĂ­ graf | InteraktivnĂ­ graf

position vs time
speed and acceleration