🇳🇴 🇬🇧 🇩🇪 🇨🇿 🇫🇮

Meteor Torsbyn yllä 2025-04-01 20:53:20 UTC

KML-tiedosto  |  Interaktiivinen kartta

Kartta näyttää meteorin suuntahavainnot. Vaaleammat viivat näyttävät suunnat havaintoasemilta meteorin ilmestyessä, ja tummemmat viivat näyttävät, missä se viimeksi nähtiin. Sininen nuoli näyttää meteorin näkyvän lennon.

static map
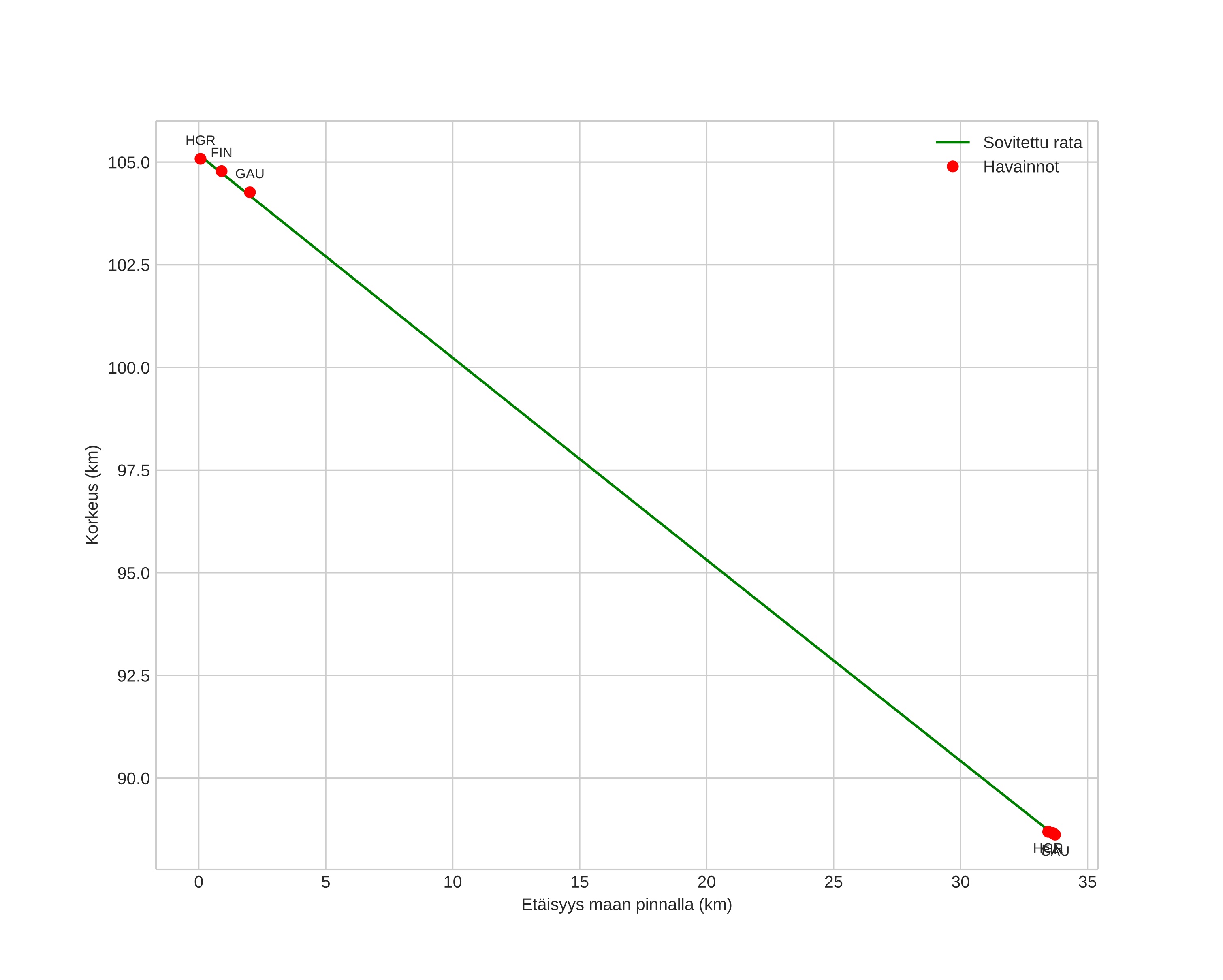
height profile
Meteorin ilmakehärata:
Alkukorkeus: 106,2 km
Loppukorkeus: 88,3 km
Alkupiste: 60,455N 13,358E
Loppupiste: 60,247N 12,870E
Suunta: 229,4°
Kallistuskulma: 26,8°
Tulonopeus: 44,2 km/s
Radiantin R,A,: 18:01 (270,5°)
Radiantin Dekl,: 41,9°
Meteoriparvi: Sporadinen
Meteoroidin rataelementit:
Perihelietäisyys: 0,994 AU
Eksentrisyys: 0,874
Inklinaatio: 72,3°
Nousevan solmun pituus: 12,0°
Perihelin argumentti: 188,9°
Keskianomalia: 359,7°
Epookki: 2025 APR 01 20:53:20
orbit plot

Ei-interaktiivinen kuvaaja | Interaktiivinen kuvaaja

position vs time
speed and acceleration