🇳🇴 🇬🇧 🇩🇪 🇨🇿 🇫🇮

Meteor, poloha: Aursmoen 2025-04-02 01:27:39 UTC

Soubor KML  |  InteraktivnĂ­ mapa

Mapa zobrazuje dráhy meteoru. Světlejší čáry ukazují směry od pozorovacích stanic při objevení se meteoru a tmavší čáry, kde byl naposledy viděn. Modrá šipka značí viditelnou dráhu meteoru.

static map
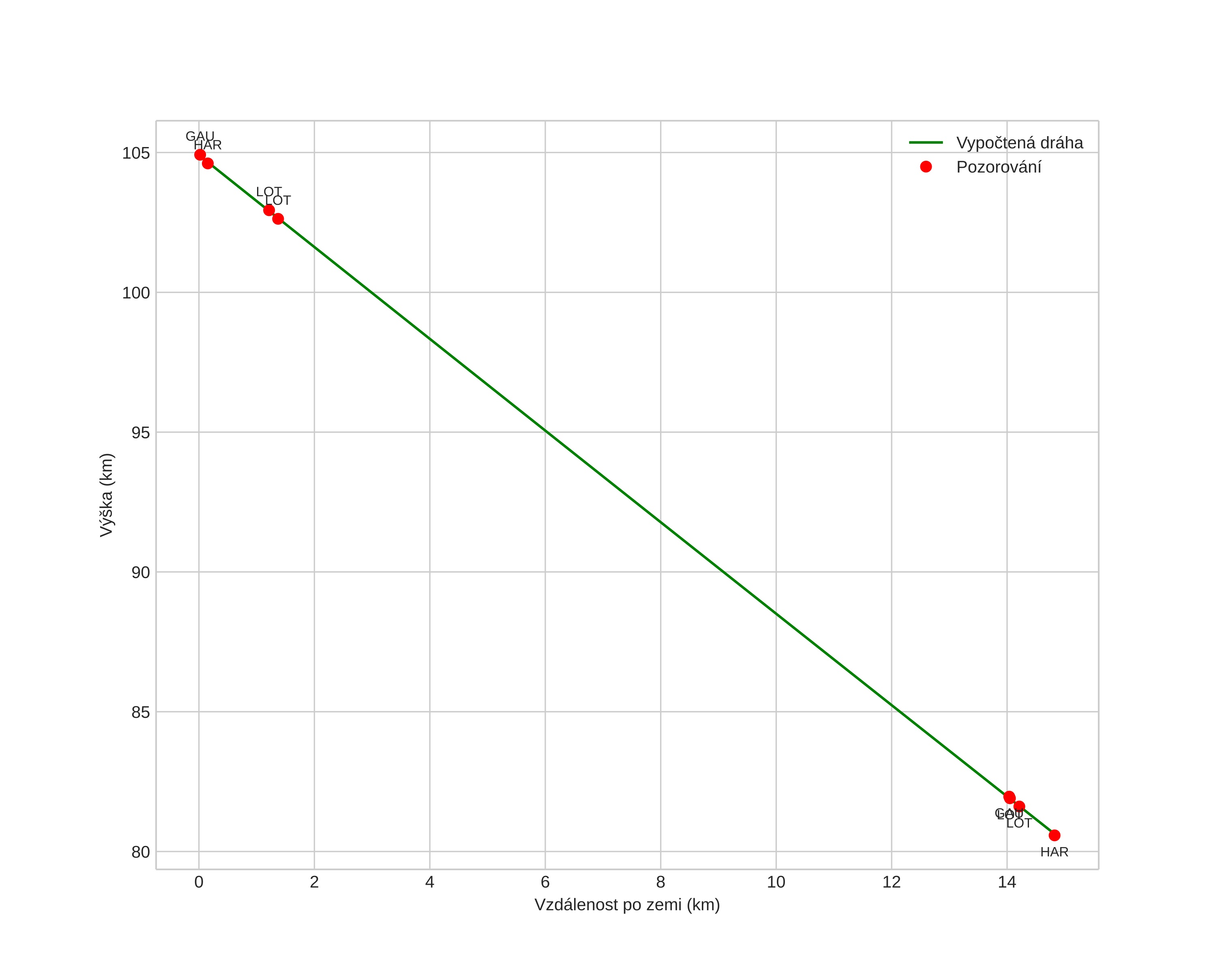
height profile
Atmosférická dráha meteoru:
Počáteční výška: 105,1 km
Konečná výška: 80,6 km
Počáteční poloha: 59,776N 11,376E
Konečná poloha: 59,910N 11,425E
Směr: 10,2°
Sklon: 58,3°
VstupnĂ­ rychlost: 36,4 km/s
Rektascenze radiantu: 14:27 (217,0°)
Deklinace radiantu: 27,6°
MeteorickĂ˝ roj: sporadickĂ˝
Elementy dráhy meteoroidu:
Vzdálenost v periheliu: 0,620 AU
Excentricita: 0,988
Sklon dráhy: 41,8°
Délka vzestupného uzlu: 12,2°
Argument perihelia: 256,3°
Střední anomálie: 359,9°
Epocha: 2025 APR 02 01:27:39
orbit plot

NeinteraktivnĂ­ graf | InteraktivnĂ­ graf

position vs time
speed and acceleration