🇳🇴 🇬🇧 🇩🇪 🇨🇿 🇫🇮

Meteor Aursmoenin yllä 2025-04-02 01:27:39 UTC

KML-tiedosto  |  Interaktiivinen kartta

Kartta näyttää meteorin suuntahavainnot. Vaaleammat viivat näyttävät suunnat havaintoasemilta meteorin ilmestyessä, ja tummemmat viivat näyttävät, missä se viimeksi nähtiin. Sininen nuoli näyttää meteorin näkyvän lennon.

static map
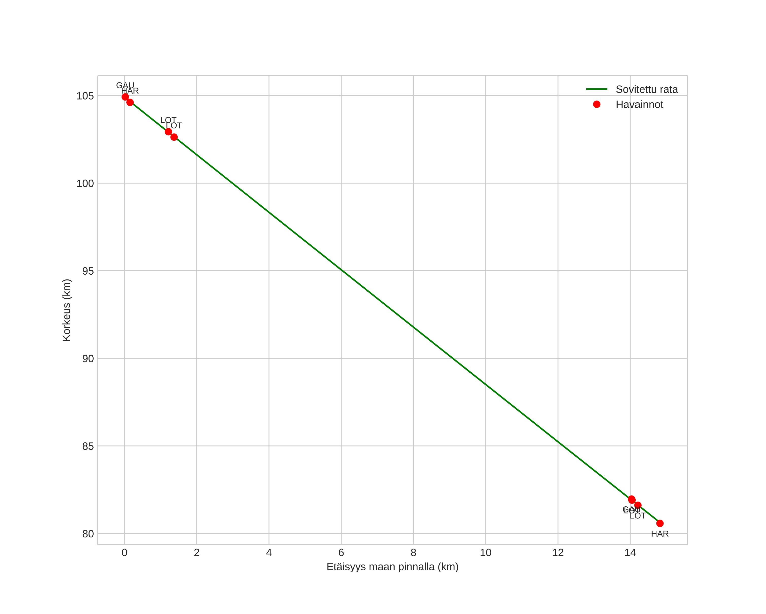
height profile
Meteorin ilmakehärata:
Alkukorkeus: 105,1 km
Loppukorkeus: 80,6 km
Alkupiste: 59,776N 11,376E
Loppupiste: 59,910N 11,425E
Suunta: 10,2°
Kallistuskulma: 58,3°
Tulonopeus: 36,4 km/s
Radiantin R,A,: 14:27 (217,0°)
Radiantin Dekl,: 27,6°
Meteoriparvi: Sporadinen
Meteoroidin rataelementit:
Perihelietäisyys: 0,620 AU
Eksentrisyys: 0,988
Inklinaatio: 41,8°
Nousevan solmun pituus: 12,2°
Perihelin argumentti: 256,3°
Keskianomalia: 359,9°
Epookki: 2025 APR 02 01:27:39
orbit plot

Ei-interaktiivinen kuvaaja | Interaktiivinen kuvaaja

position vs time
speed and acceleration