🇳🇴 🇬🇧 🇩🇪 🇨🇿 🇫🇮

Meteor, poloha: Kirkenær 2025-04-02 01:56:40 UTC

Soubor KML  |  InteraktivnĂ­ mapa

Mapa zobrazuje dráhy meteoru. Světlejší čáry ukazují směry od pozorovacích stanic při objevení se meteoru a tmavší čáry, kde byl naposledy viděn. Modrá šipka značí viditelnou dráhu meteoru.

static map
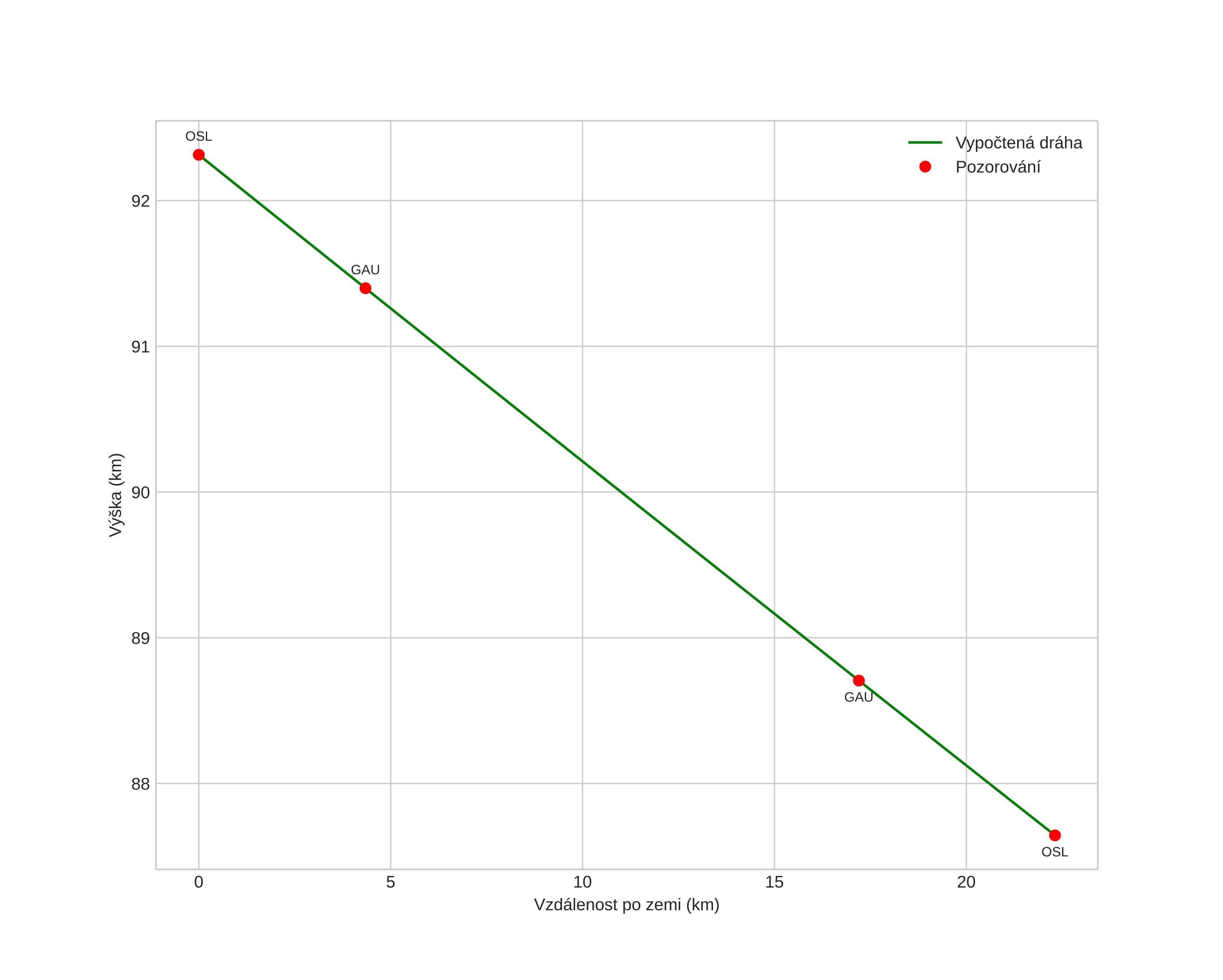
height profile
Atmosférická dráha meteoru:
Počáteční výška: 91,9 km
Konečná výška: 87,0 km
Počáteční poloha: 60,140N 12,078E
Konečná poloha: 60,374N 12,138E
Směr: 7,2°
Sklon: 10,5°
VstupnĂ­ rychlost: 35,2 km/s
Rektascenze radiantu: 14:53 (223,4°)
Deklinace radiantu: -21,4°
MeteorickĂ˝ roj: sporadickĂ˝
Elementy dráhy meteoroidu:
Vzdálenost v periheliu: 0,071 AU
Excentricita: 0,925
Sklon dráhy: 14,3°
Délka vzestupného uzlu: 192,2°
Argument perihelia: 158,9°
Střední anomálie: 319,7°
Epocha: 2025 APR 02 01:56:40
orbit plot

NeinteraktivnĂ­ graf | InteraktivnĂ­ graf

position vs time
speed and acceleration