🇳🇴 🇬🇧 🇩🇪 🇨🇿 🇫🇮

Meteor Kirkenærin yllä 2025-04-02 01:56:40 UTC

KML-tiedosto  |  Interaktiivinen kartta

Kartta näyttää meteorin suuntahavainnot. Vaaleammat viivat näyttävät suunnat havaintoasemilta meteorin ilmestyessä, ja tummemmat viivat näyttävät, missä se viimeksi nähtiin. Sininen nuoli näyttää meteorin näkyvän lennon.

static map
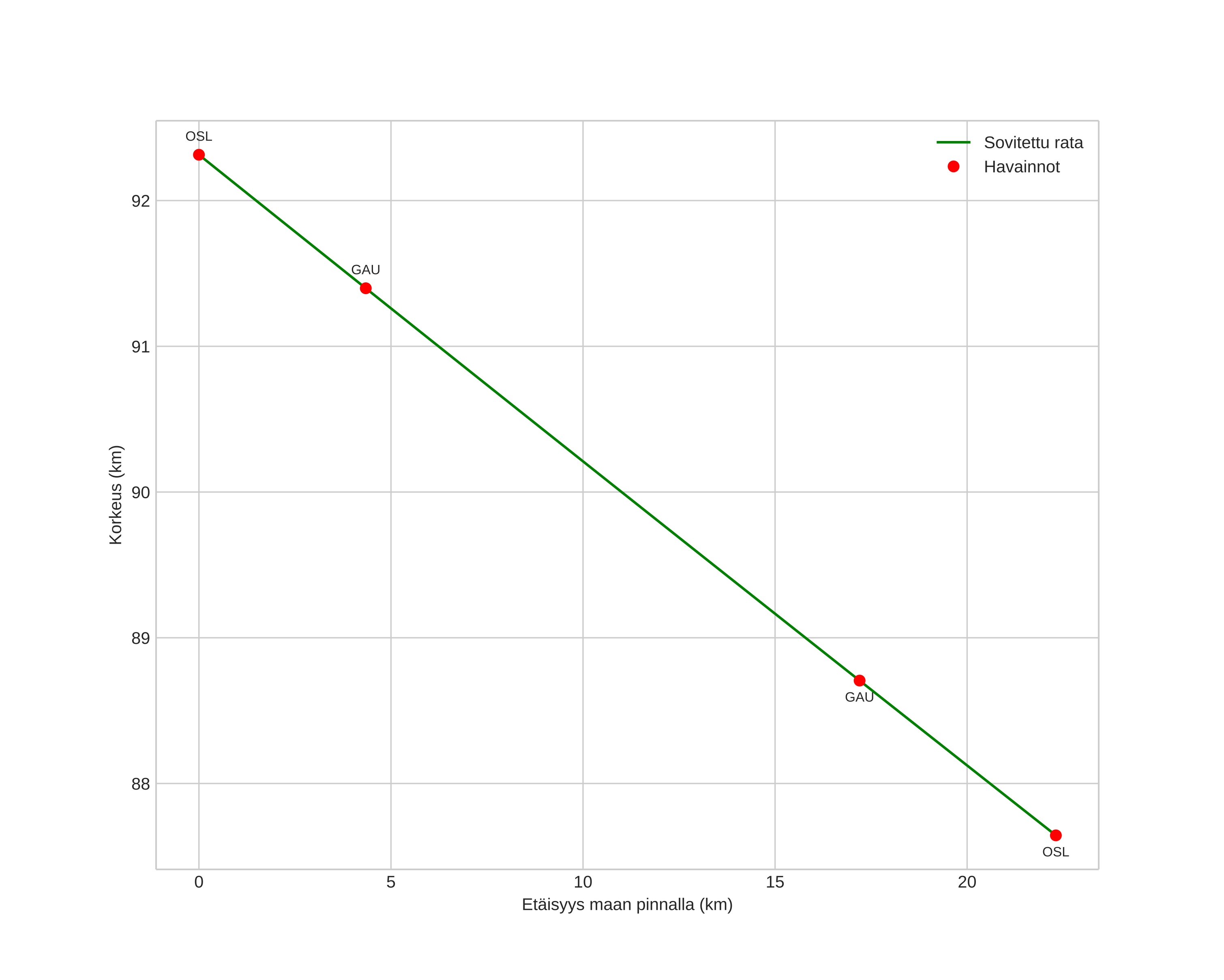
height profile
Meteorin ilmakehärata:
Alkukorkeus: 91,9 km
Loppukorkeus: 87,0 km
Alkupiste: 60,140N 12,078E
Loppupiste: 60,374N 12,138E
Suunta: 7,2°
Kallistuskulma: 10,5°
Tulonopeus: 35,2 km/s
Radiantin R,A,: 14:53 (223,4°)
Radiantin Dekl,: -21,4°
Meteoriparvi: Sporadinen
Meteoroidin rataelementit:
Perihelietäisyys: 0,071 AU
Eksentrisyys: 0,925
Inklinaatio: 14,3°
Nousevan solmun pituus: 192,2°
Perihelin argumentti: 158,9°
Keskianomalia: 319,7°
Epookki: 2025 APR 02 01:56:40
orbit plot

Ei-interaktiivinen kuvaaja | Interaktiivinen kuvaaja

position vs time
speed and acceleration