🇳🇴 🇬🇧 🇩🇪 🇨🇿 🇫🇮

Meteor, poloha: Rindal 2025-04-02 20:30:41 UTC

Soubor KML  |  InteraktivnĂ­ mapa

Mapa zobrazuje dráhy meteoru. Světlejší čáry ukazují směry od pozorovacích stanic při objevení se meteoru a tmavší čáry, kde byl naposledy viděn. Modrá šipka značí viditelnou dráhu meteoru.

static map
height profile
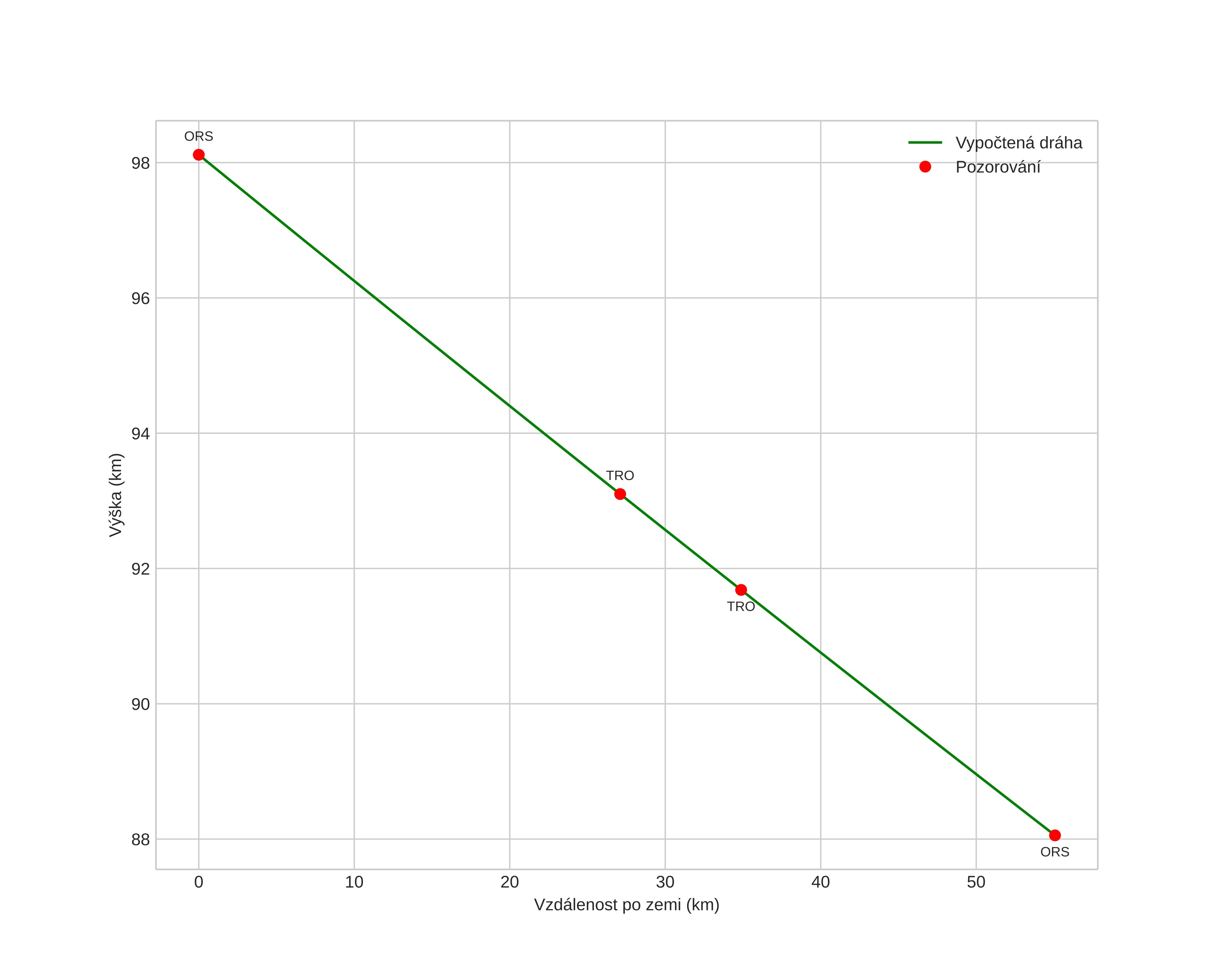
Atmosférická dráha meteoru:
Počáteční výška: 97,2 km
Konečná výška: 88,1 km
Počáteční poloha: 62,600N 9,986E
Konečná poloha: 62,916N 9,266E
Směr: 314,1°
Sklon: 10,2°
VstupnĂ­ rychlost: 29,2 km/s
Rektascenze radiantu: 13:01 (195,4°)
Deklinace radiantu: -12,6°
MeteorickĂ˝ roj: sporadickĂ˝
Elementy dráhy meteoroidu:
Vzdálenost v periheliu: 0,456 AU
Excentricita: 0,816
Sklon dráhy: 5,5°
Délka vzestupného uzlu: 193,0°
Argument perihelia: 102,1°
Střední anomálie: 348,9°
Epocha: 2025 APR 02 20:30:41
orbit plot

NeinteraktivnĂ­ graf | InteraktivnĂ­ graf

position vs time
speed and acceleration