🇳🇴 🇬🇧 🇩🇪 🇨🇿 🇫🇮

Meteor Rindalin yllä 2025-04-02 20:30:41 UTC

KML-tiedosto  |  Interaktiivinen kartta

Kartta näyttää meteorin suuntahavainnot. Vaaleammat viivat näyttävät suunnat havaintoasemilta meteorin ilmestyessä, ja tummemmat viivat näyttävät, missä se viimeksi nähtiin. Sininen nuoli näyttää meteorin näkyvän lennon.

static map
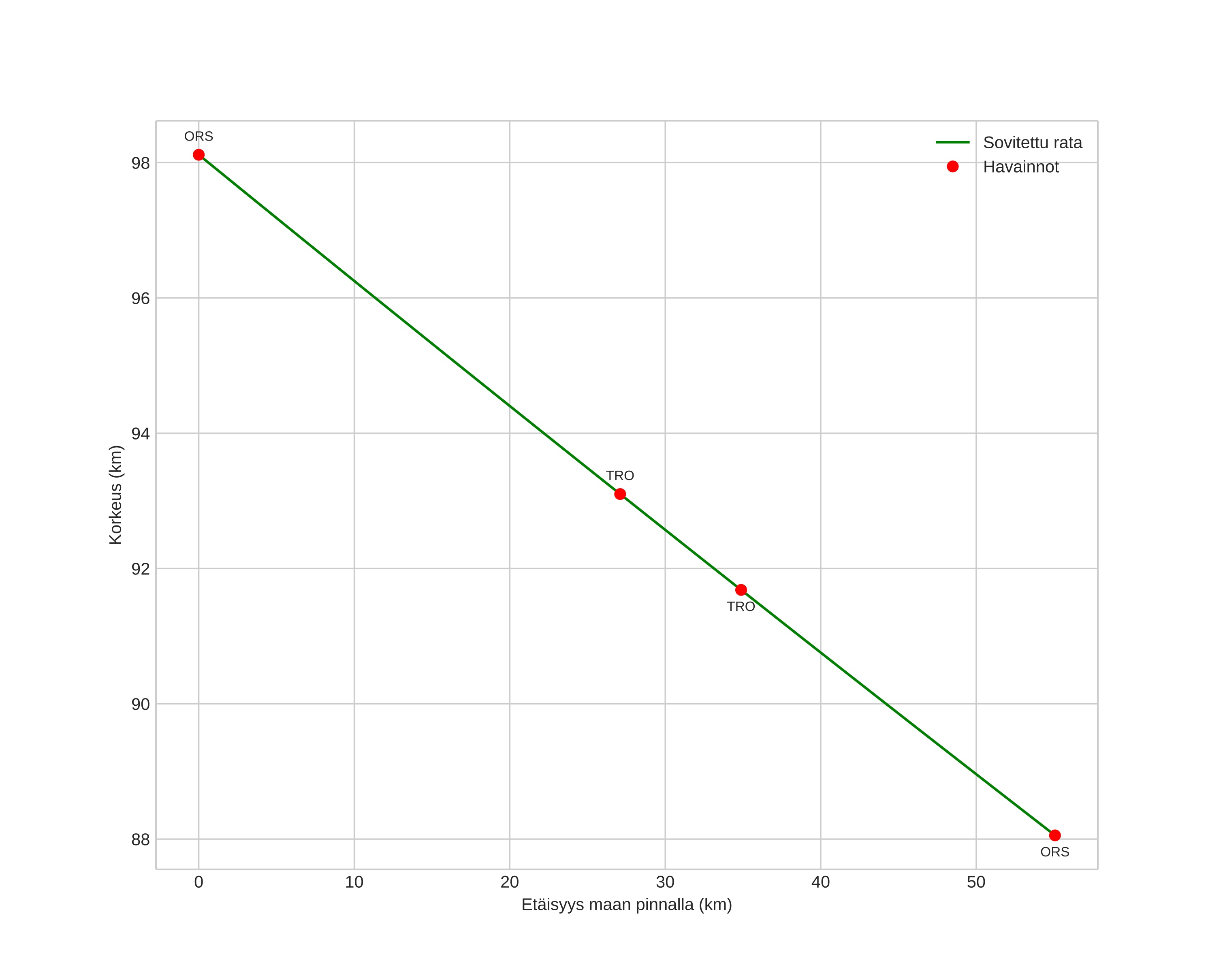
height profile
Meteorin ilmakehärata:
Alkukorkeus: 97,2 km
Loppukorkeus: 88,1 km
Alkupiste: 62,600N 9,986E
Loppupiste: 62,916N 9,266E
Suunta: 314,1°
Kallistuskulma: 10,2°
Tulonopeus: 29,2 km/s
Radiantin R,A,: 13:01 (195,4°)
Radiantin Dekl,: -12,6°
Meteoriparvi: Sporadinen
Meteoroidin rataelementit:
Perihelietäisyys: 0,456 AU
Eksentrisyys: 0,816
Inklinaatio: 5,5°
Nousevan solmun pituus: 193,0°
Perihelin argumentti: 102,1°
Keskianomalia: 348,9°
Epookki: 2025 APR 02 20:30:41
orbit plot

Ei-interaktiivinen kuvaaja | Interaktiivinen kuvaaja

position vs time
speed and acceleration