🇳🇴 🇬🇧 🇩🇪 🇨🇿 🇫🇮

Meteor, poloha: Lervik 2025-04-03 02:14:46 UTC

Soubor KML  |  InteraktivnĂ­ mapa

Mapa zobrazuje dráhy meteoru. Světlejší čáry ukazují směry od pozorovacích stanic při objevení se meteoru a tmavší čáry, kde byl naposledy viděn. Modrá šipka značí viditelnou dráhu meteoru.

static map
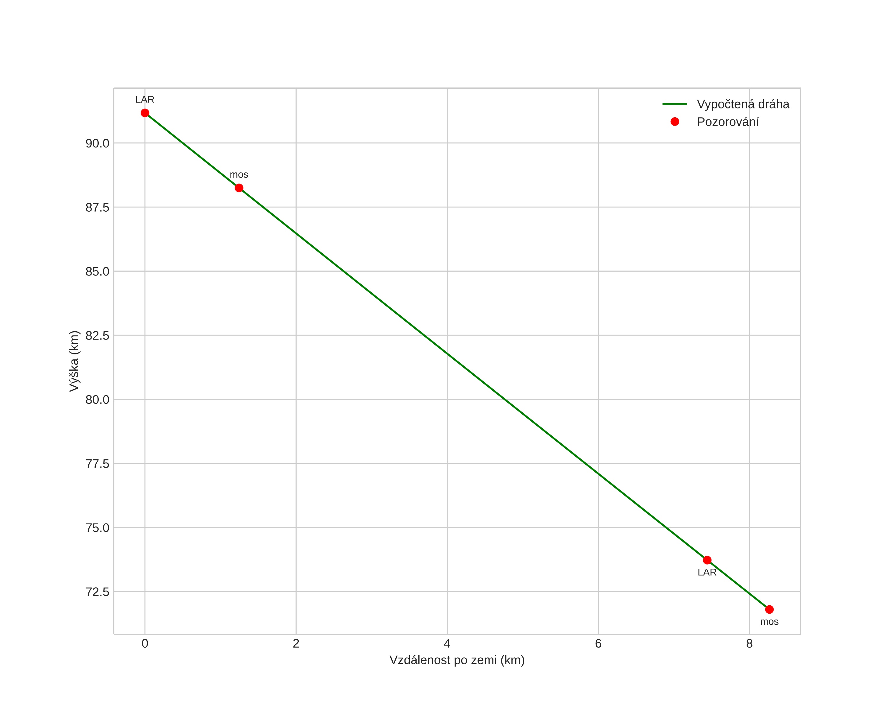
height profile
Atmosférická dráha meteoru:
Počáteční výška: 91,2 km
Konečná výška: 72,0 km
Počáteční poloha: 59,113N 10,679E
Konečná poloha: 59,058N 10,774E
Směr: 138,9°
Sklon: 66,8°
VstupnĂ­ rychlost: 17,9 km/s
Rektascenze radiantu: 11:44 (176,2°)
Deklinace radiantu: 69,6°
MeteorickĂ˝ roj: sporadickĂ˝
Elementy dráhy meteoroidu:
Vzdálenost v periheliu: 0,992 AU
Excentricita: 0,662
Sklon dráhy: 18,3°
Délka vzestupného uzlu: 13,2°
Argument perihelia: 191,3°
Střední anomálie: 358,3°
Epocha: 2025 APR 03 02:14:46
orbit plot

NeinteraktivnĂ­ graf | InteraktivnĂ­ graf

position vs time
speed and acceleration