🇳🇴 🇬🇧 🇩🇪 🇨🇿 🇫🇮

Meteor über Lervik 2025-04-03 02:14:46 UTC

KML-Datei  |  Interaktive Karte

Die Karte zeigt die Peilungen für den Meteor. Die helleren Linien zeigen die Richtungen von den Beobachtungsorten beim Erscheinen des Meteors, und die dunkleren Linien, wo er zuletzt gesehen wurde. Der blaue Pfeil zeigt die sichtbare Bahn des Meteors.

static map
height profile
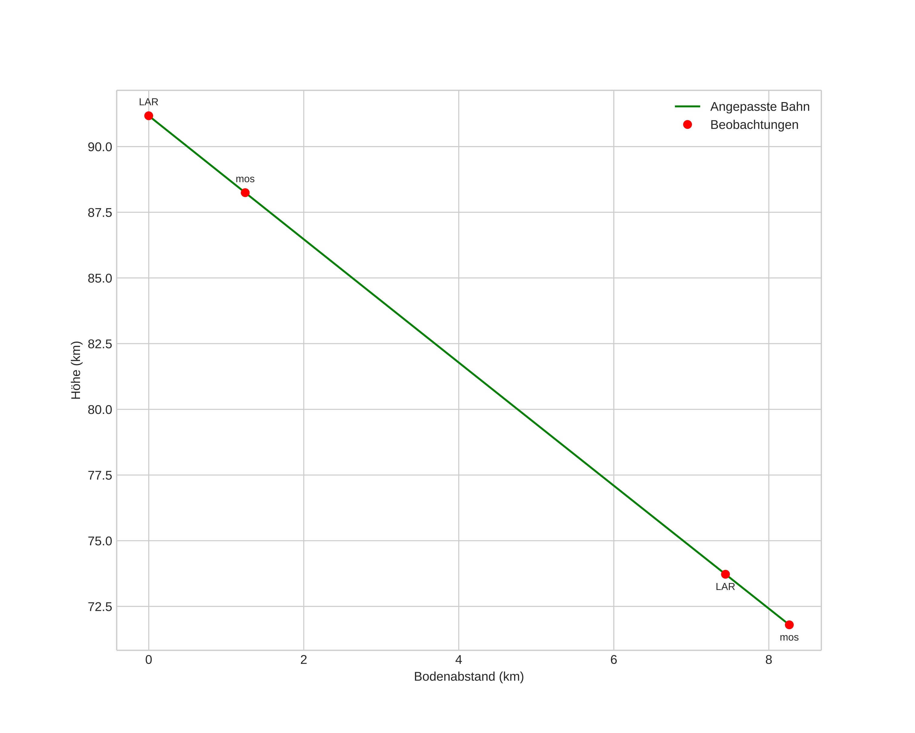
Atmosphärische Bahn des Meteors:
Anfangshöhe: 91,2 km
Endhöhe: 72,0 km
Startposition: 59,113N 10,679E
Endposition: 59,058N 10,774E
Richtung: 138,9°
Neigungswinkel: 66,8°
Eintrittsgeschwindigkeit: 17,9 km/s
Rektaszension des Radianten: 11:44 (176,2°)
Deklination des Radianten: 69,6°
Meteorstrom: sporadisch
Bahnelemente des Meteoroiden:
Periheldistanz: 0,992 AU
Exzentrizität: 0,662
Inklination: 18,3°
Länge des aufsteigenden Knotens: 13,2°
Argument des Perihels: 191,3°
Mittlere Anomalie: 358,3°
Epoche: 2025 APR 03 02:14:46
orbit plot

Nicht-interaktives Diagramm | Interaktives Diagramm

position vs time
speed and acceleration