🇳🇴 🇬🇧 🇩🇪 🇨🇿 🇫🇮

Meteor, poloha: Jevnaker 2025-04-05 01:27:46 UTC

Soubor KML  |  InteraktivnĂ­ mapa

Mapa zobrazuje dráhy meteoru. Světlejší čáry ukazují směry od pozorovacích stanic při objevení se meteoru a tmavší čáry, kde byl naposledy viděn. Modrá šipka značí viditelnou dráhu meteoru.

static map
height profile
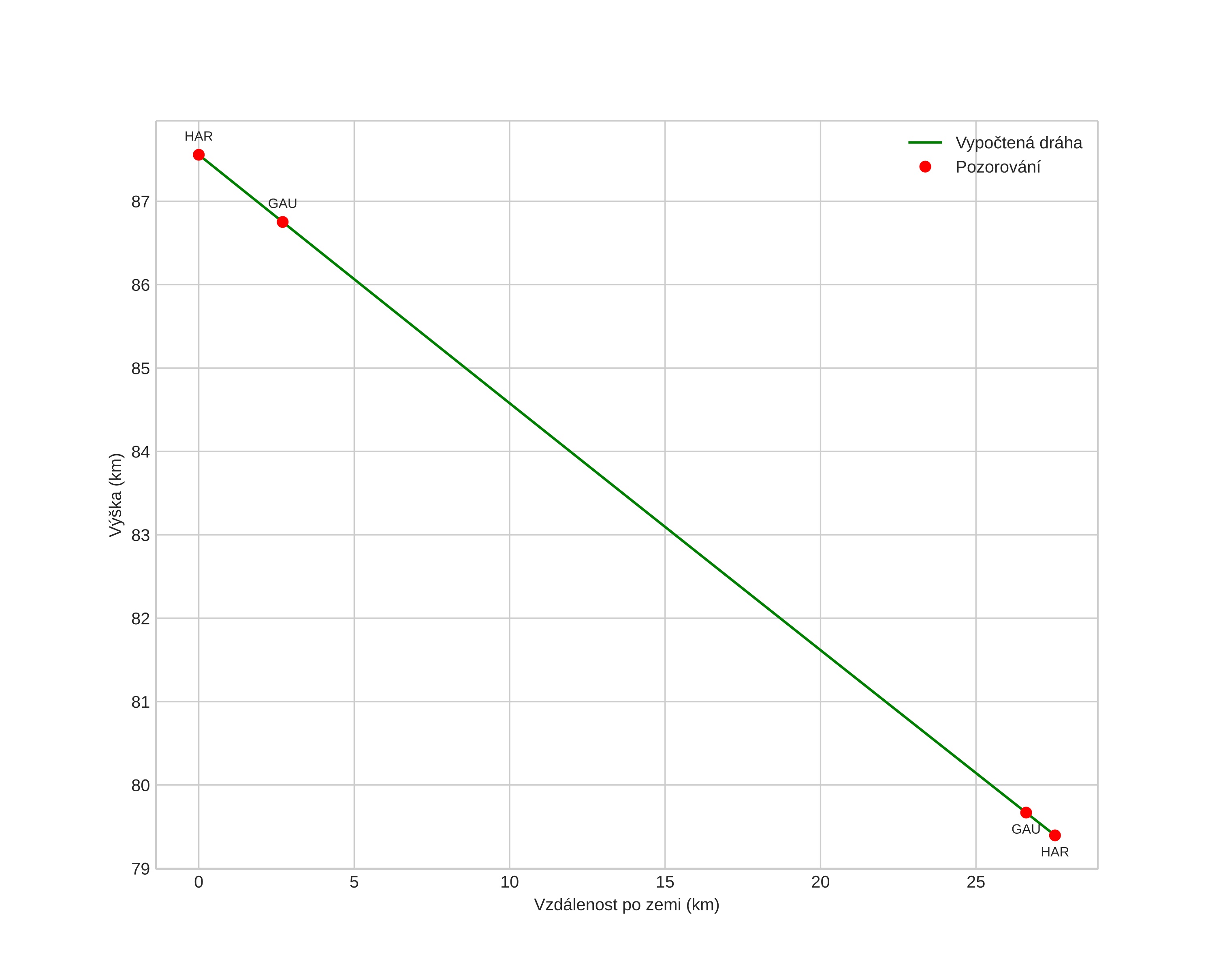
Atmosférická dráha meteoru:
Počáteční výška: 89,2 km
Konečná výška: 79,2 km
Počáteční poloha: 60,248N 9,959E
Konečná poloha: 60,372N 10,420E
Směr: 61,3°
Sklon: 19,1°
VstupnĂ­ rychlost: 18,0 km/s
Rektascenze radiantu: 10:57 (164,4°)
Deklinace radiantu: -5,1°
MeteorickĂ˝ roj: sporadickĂ˝
Elementy dráhy meteoroidu:
Vzdálenost v periheliu: 0,880 AU
Excentricita: 0,699
Sklon dráhy: 4,3°
Délka vzestupného uzlu: 195,2°
Argument perihelia: 45,1°
Střední anomálie: 353,8°
Epocha: 2025 APR 05 01:27:46
orbit plot

NeinteraktivnĂ­ graf | InteraktivnĂ­ graf

position vs time
speed and acceleration