🇳🇴 🇬🇧 🇩🇪 🇨🇿 🇫🇮

Meteor Jevnakerin yllä 2025-04-05 01:27:46 UTC

KML-tiedosto  |  Interaktiivinen kartta

Kartta näyttää meteorin suuntahavainnot. Vaaleammat viivat näyttävät suunnat havaintoasemilta meteorin ilmestyessä, ja tummemmat viivat näyttävät, missä se viimeksi nähtiin. Sininen nuoli näyttää meteorin näkyvän lennon.

static map
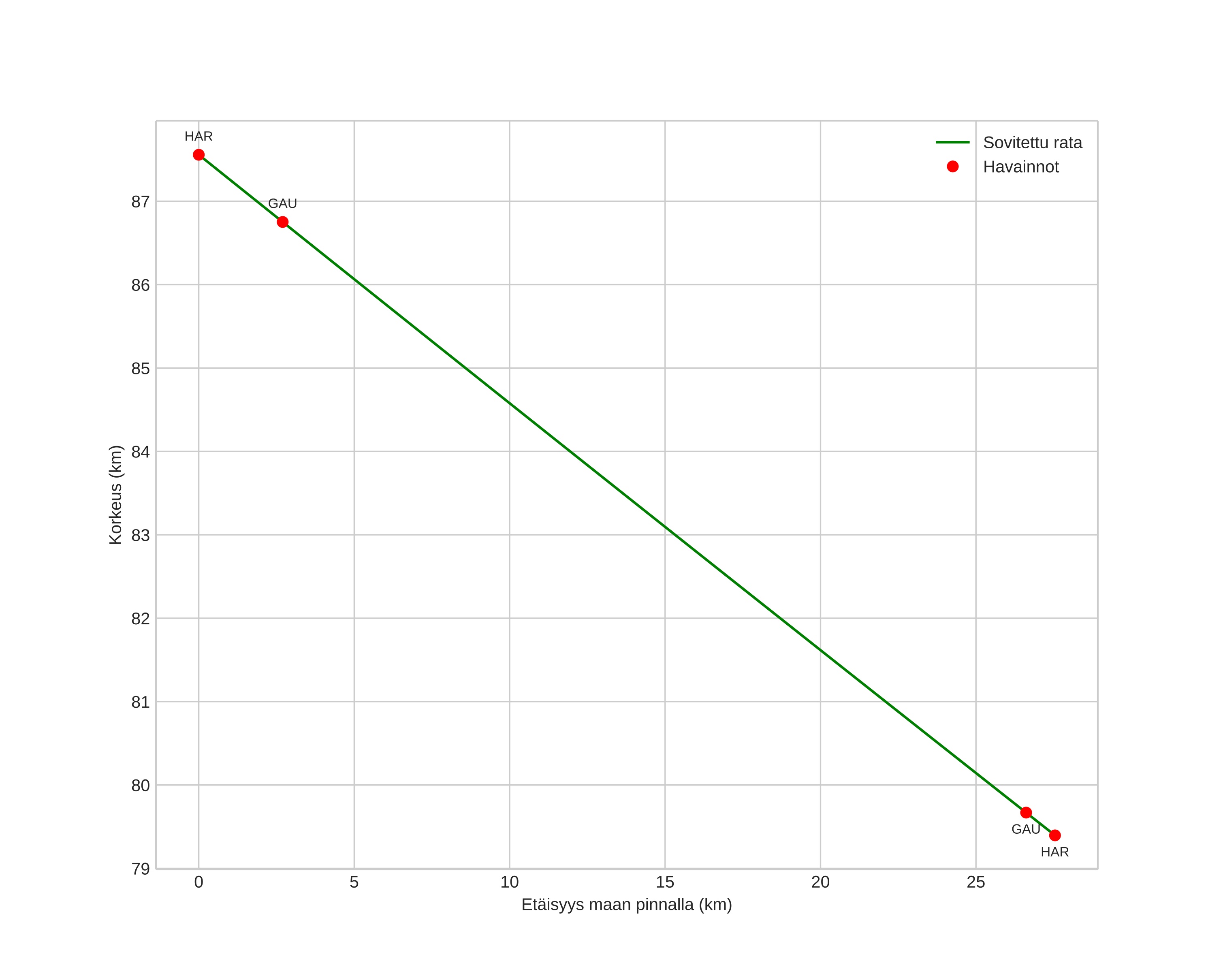
height profile
Meteorin ilmakehärata:
Alkukorkeus: 89,2 km
Loppukorkeus: 79,2 km
Alkupiste: 60,248N 9,959E
Loppupiste: 60,372N 10,420E
Suunta: 61,3°
Kallistuskulma: 19,1°
Tulonopeus: 18,0 km/s
Radiantin R,A,: 10:57 (164,4°)
Radiantin Dekl,: -5,1°
Meteoriparvi: Sporadinen
Meteoroidin rataelementit:
Perihelietäisyys: 0,880 AU
Eksentrisyys: 0,699
Inklinaatio: 4,3°
Nousevan solmun pituus: 195,2°
Perihelin argumentti: 45,1°
Keskianomalia: 353,8°
Epookki: 2025 APR 05 01:27:46
orbit plot

Ei-interaktiivinen kuvaaja | Interaktiivinen kuvaaja

position vs time
speed and acceleration