🇳🇴 🇬🇧 🇩🇪 🇨🇿 🇫🇮

Meteor, poloha: Skjønhaug 2025-04-05 21:57:48 UTC

Soubor KML  |  InteraktivnĂ­ mapa

Mapa zobrazuje dráhy meteoru. Světlejší čáry ukazují směry od pozorovacích stanic při objevení se meteoru a tmavší čáry, kde byl naposledy viděn. Modrá šipka značí viditelnou dráhu meteoru.

static map
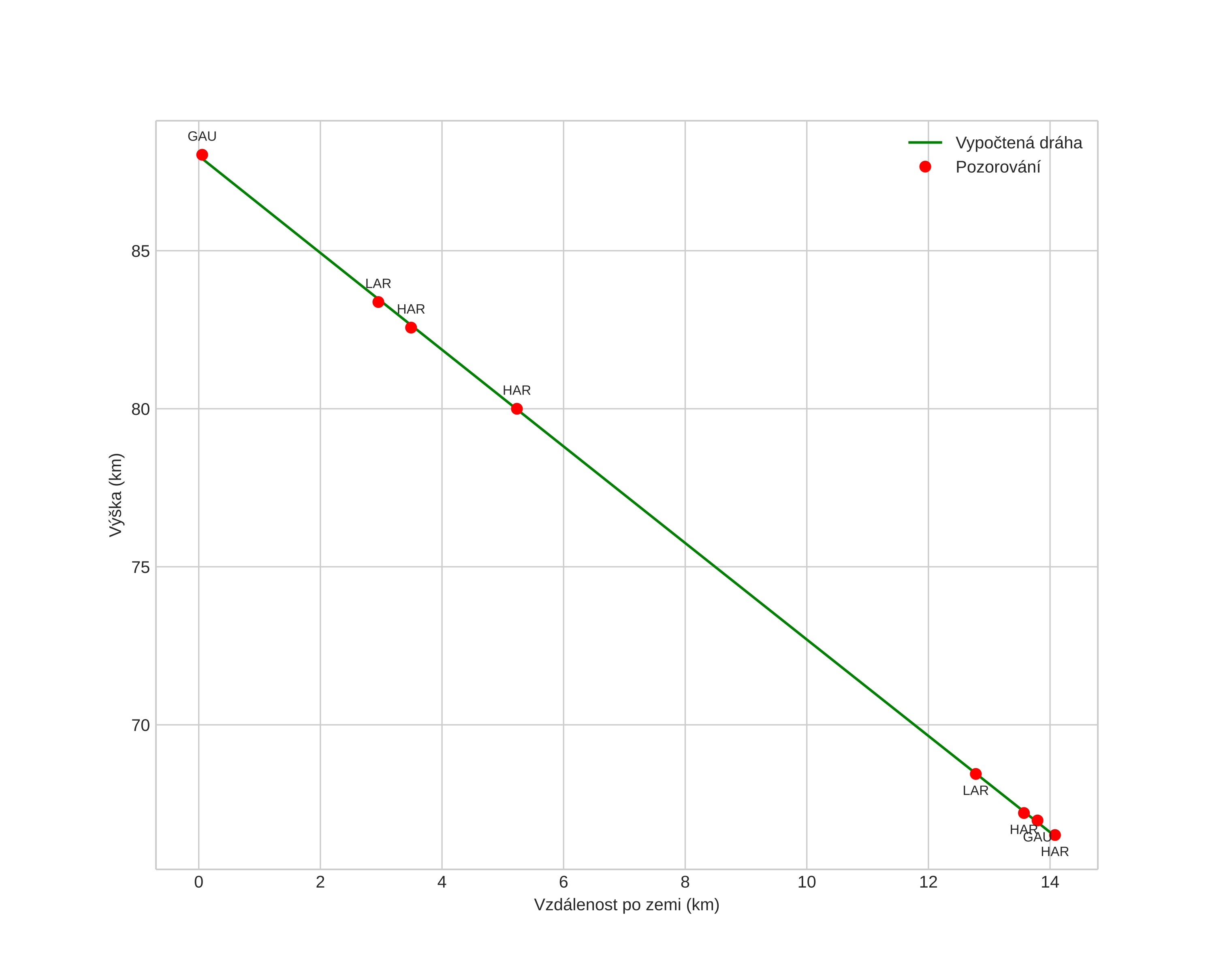
height profile
Atmosférická dráha meteoru:
Počáteční výška: 88,0 km
Konečná výška: 66,2 km
Počáteční poloha: 59,784N 11,618E
Konečná poloha: 59,664N 11,524E
Směr: 201,5°
Sklon: 56,7°
VstupnĂ­ rychlost: 22,3 km/s
Rektascenze radiantu: 18:48 (282,1°)
Deklinace radiantu: 77,7°
MeteorickĂ˝ roj: sporadickĂ˝
Elementy dráhy meteoroidu:
Vzdálenost v periheliu: 0,996 AU
Excentricita: 0,655
Sklon dráhy: 29,7°
Délka vzestupného uzlu: 16,0°
Argument perihelia: 171,0°
Střední anomálie: 1,4°
Epocha: 2025 APR 05 21:57:48
orbit plot

NeinteraktivnĂ­ graf | InteraktivnĂ­ graf

position vs time
speed and acceleration