🇳🇴 🇬🇧 🇩🇪 🇨🇿 🇫🇮

Meteor Skjønhaugin yllä 2025-04-05 21:57:48 UTC

KML-tiedosto  |  Interaktiivinen kartta

Kartta näyttää meteorin suuntahavainnot. Vaaleammat viivat näyttävät suunnat havaintoasemilta meteorin ilmestyessä, ja tummemmat viivat näyttävät, missä se viimeksi nähtiin. Sininen nuoli näyttää meteorin näkyvän lennon.

static map
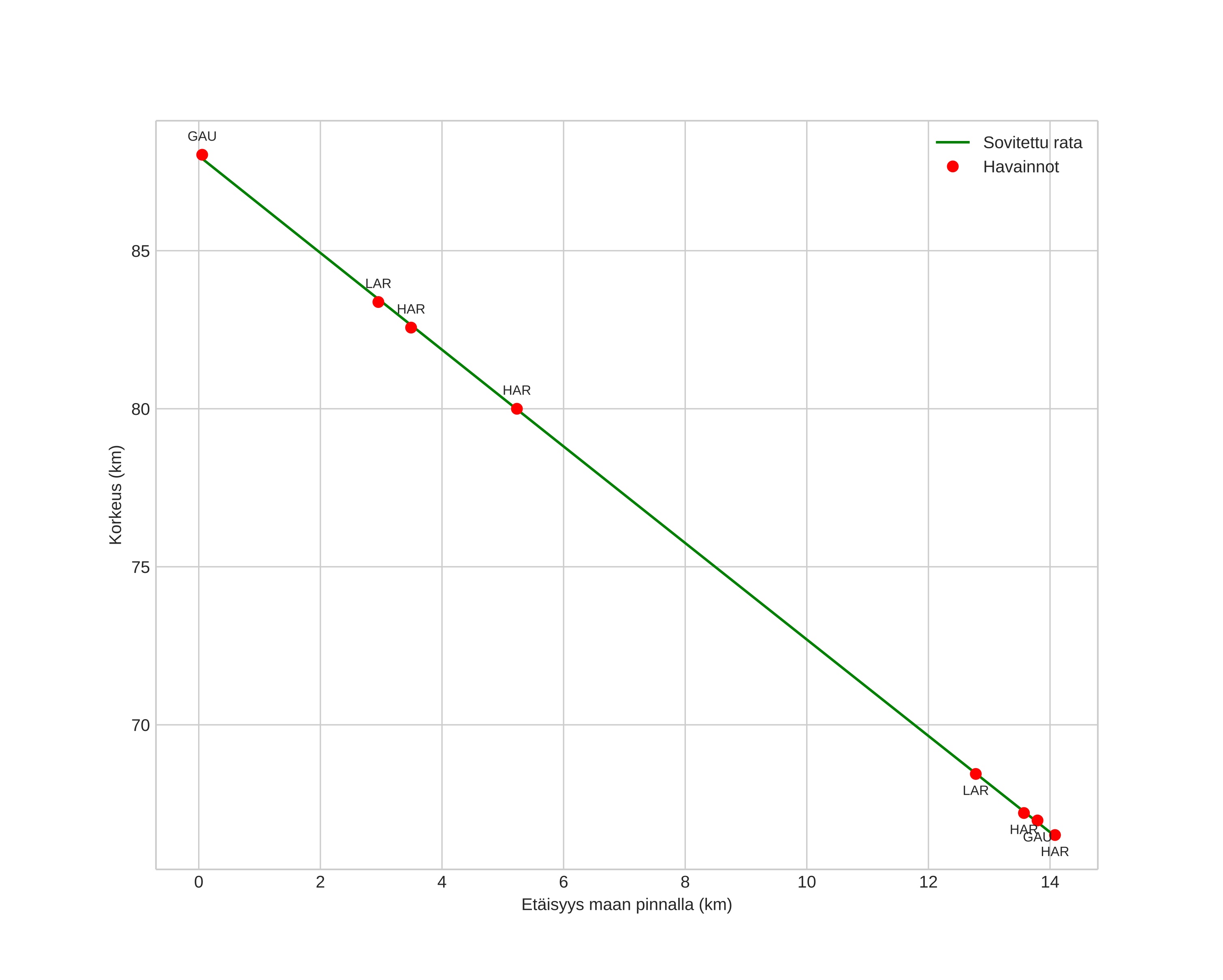
height profile
Meteorin ilmakehärata:
Alkukorkeus: 88,0 km
Loppukorkeus: 66,2 km
Alkupiste: 59,784N 11,618E
Loppupiste: 59,664N 11,524E
Suunta: 201,5°
Kallistuskulma: 56,7°
Tulonopeus: 22,3 km/s
Radiantin R,A,: 18:48 (282,1°)
Radiantin Dekl,: 77,7°
Meteoriparvi: Sporadinen
Meteoroidin rataelementit:
Perihelietäisyys: 0,996 AU
Eksentrisyys: 0,655
Inklinaatio: 29,7°
Nousevan solmun pituus: 16,0°
Perihelin argumentti: 171,0°
Keskianomalia: 1,4°
Epookki: 2025 APR 05 21:57:48
orbit plot

Ei-interaktiivinen kuvaaja | Interaktiivinen kuvaaja

position vs time
speed and acceleration