🇳🇴 🇬🇧 🇩🇪 🇨🇿 🇫🇮

Meteor, poloha: Torsby 2025-04-06 20:25:39 UTC

Soubor KML  |  InteraktivnĂ­ mapa

Mapa zobrazuje dráhy meteoru. Světlejší čáry ukazují směry od pozorovacích stanic při objevení se meteoru a tmavší čáry, kde byl naposledy viděn. Modrá šipka značí viditelnou dráhu meteoru.

static map
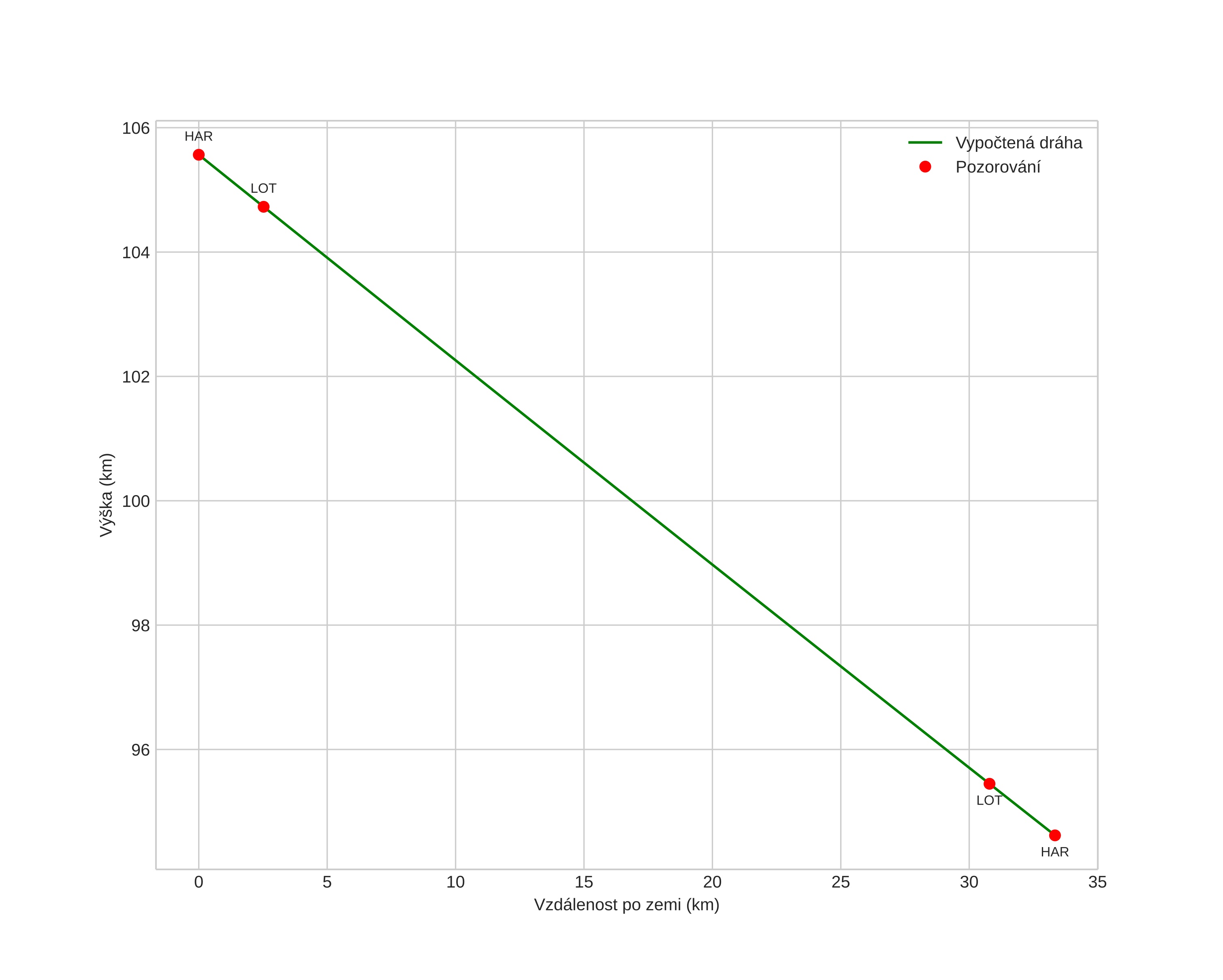
height profile
Atmosférická dráha meteoru:
Počáteční výška: 105,7 km
Konečná výška: 93,7 km
Počáteční poloha: 60,543N 13,416E
Konečná poloha: 60,303N 13,014E
Směr: 219,7°
Sklon: 19,1°
VstupnĂ­ rychlost: 50,1 km/s
Rektascenze radiantu: 18:54 (283,6°)
Deklinace radiantu: 39,1°
MeteorickĂ˝ roj: sporadickĂ˝
Elementy dráhy meteoroidu:
Vzdálenost v periheliu: 0,997 AU
Excentricita: 1,124
Sklon dráhy: 81,2°
Délka vzestupného uzlu: 16,9°
Argument perihelia: 173,1°
Střední anomálie: 0,2°
Epocha: 2025 APR 06 20:25:39
orbit plot

NeinteraktivnĂ­ graf | InteraktivnĂ­ graf

position vs time
speed and acceleration