🇳🇴 🇬🇧 🇩🇪 🇨🇿 🇫🇮

Meteor Torsbyn yllä 2025-04-06 20:25:39 UTC

KML-tiedosto  |  Interaktiivinen kartta

Kartta näyttää meteorin suuntahavainnot. Vaaleammat viivat näyttävät suunnat havaintoasemilta meteorin ilmestyessä, ja tummemmat viivat näyttävät, missä se viimeksi nähtiin. Sininen nuoli näyttää meteorin näkyvän lennon.

static map
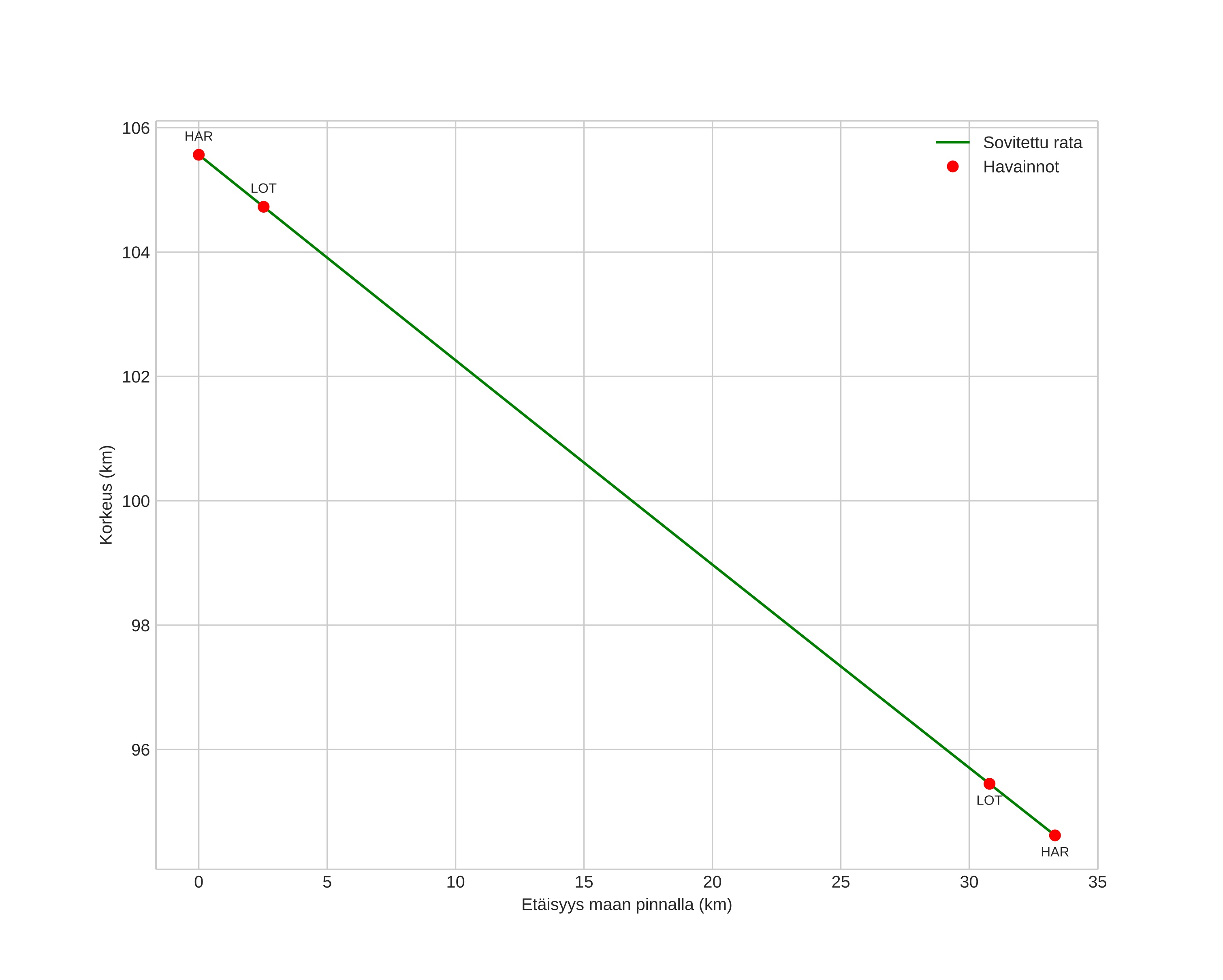
height profile
Meteorin ilmakehärata:
Alkukorkeus: 105,7 km
Loppukorkeus: 93,7 km
Alkupiste: 60,543N 13,416E
Loppupiste: 60,303N 13,014E
Suunta: 219,7°
Kallistuskulma: 19,1°
Tulonopeus: 50,1 km/s
Radiantin R,A,: 18:54 (283,6°)
Radiantin Dekl,: 39,1°
Meteoriparvi: Sporadinen
Meteoroidin rataelementit:
Perihelietäisyys: 0,997 AU
Eksentrisyys: 1,124
Inklinaatio: 81,2°
Nousevan solmun pituus: 16,9°
Perihelin argumentti: 173,1°
Keskianomalia: 0,2°
Epookki: 2025 APR 06 20:25:39
orbit plot

Ei-interaktiivinen kuvaaja | Interaktiivinen kuvaaja

position vs time
speed and acceleration