🇳🇴 🇬🇧 🇩🇪 🇨🇿 🇫🇮

Meteor, poloha: Segalstad bru 2025-04-06 20:56:24 UTC

Soubor KML  |  InteraktivnĂ­ mapa

Mapa zobrazuje dráhy meteoru. Světlejší čáry ukazují směry od pozorovacích stanic při objevení se meteoru a tmavší čáry, kde byl naposledy viděn. Modrá šipka značí viditelnou dráhu meteoru.

static map
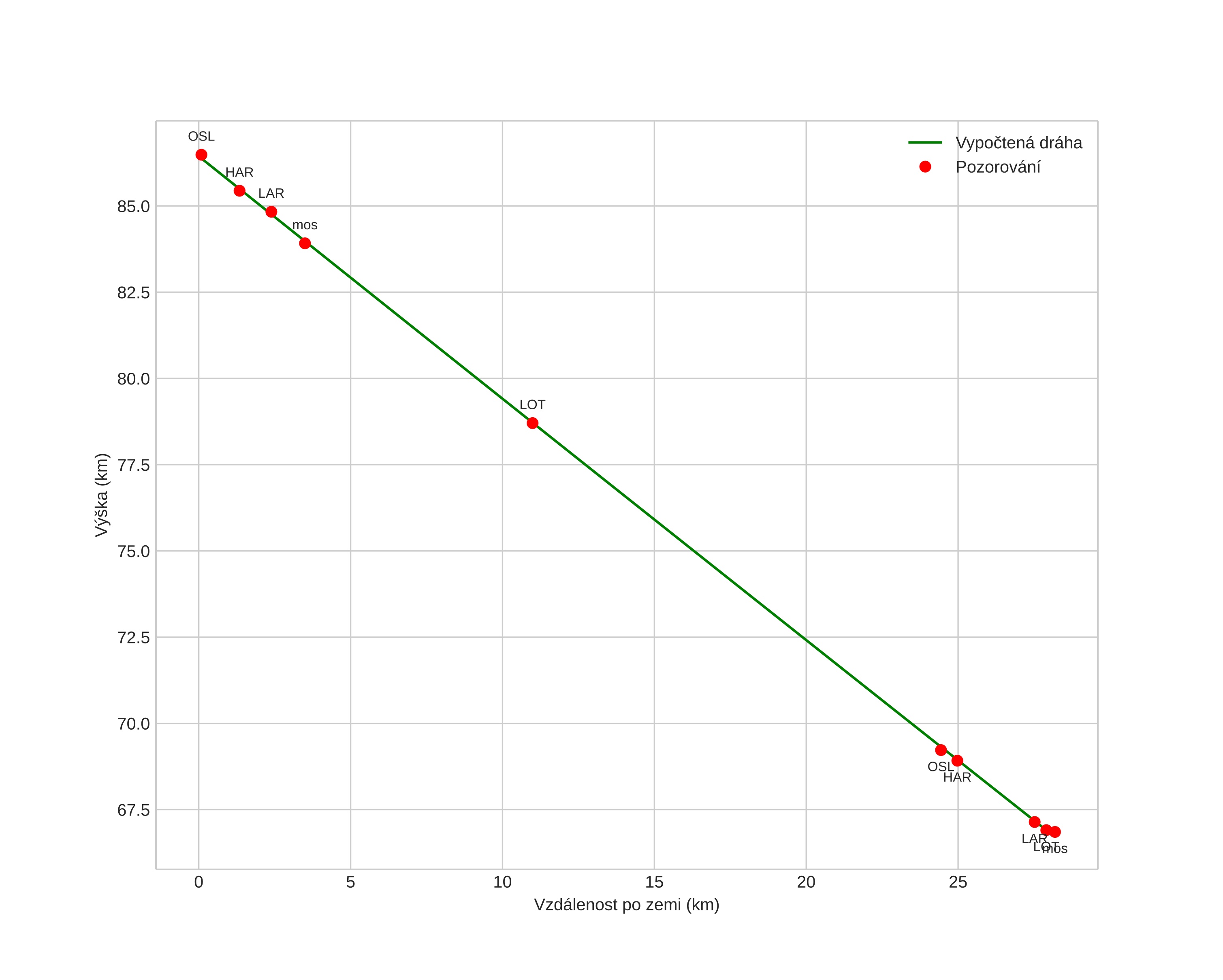
height profile
Atmosférická dráha meteoru:
Počáteční výška: 85,5 km
Konečná výška: 66,8 km
Počáteční poloha: 60,973N 10,583E
Konečná poloha: 61,141N 10,236E
Směr: 315,1°
Sklon: 35,3°
VstupnĂ­ rychlost: 19,8 km/s
Rektascenze radiantu: 13:09 (197,3°)
Deklinace radiantu: 7,9°
MeteorickĂ˝ roj: sporadickĂ˝
Elementy dráhy meteoroidu:
Vzdálenost v periheliu: 0,709 AU
Excentricita: 0,544
Sklon dráhy: 7,3°
Délka vzestupného uzlu: 17,0°
Argument perihelia: 260,1°
Střední anomálie: 334,4°
Epocha: 2025 APR 06 20:56:24
orbit plot

NeinteraktivnĂ­ graf | InteraktivnĂ­ graf

position vs time
speed and acceleration