🇳🇴 🇬🇧 🇩🇪 🇨🇿 🇫🇮

Meteor Segalstad brun yllä 2025-04-06 20:56:24 UTC

KML-tiedosto  |  Interaktiivinen kartta

Kartta näyttää meteorin suuntahavainnot. Vaaleammat viivat näyttävät suunnat havaintoasemilta meteorin ilmestyessä, ja tummemmat viivat näyttävät, missä se viimeksi nähtiin. Sininen nuoli näyttää meteorin näkyvän lennon.

static map
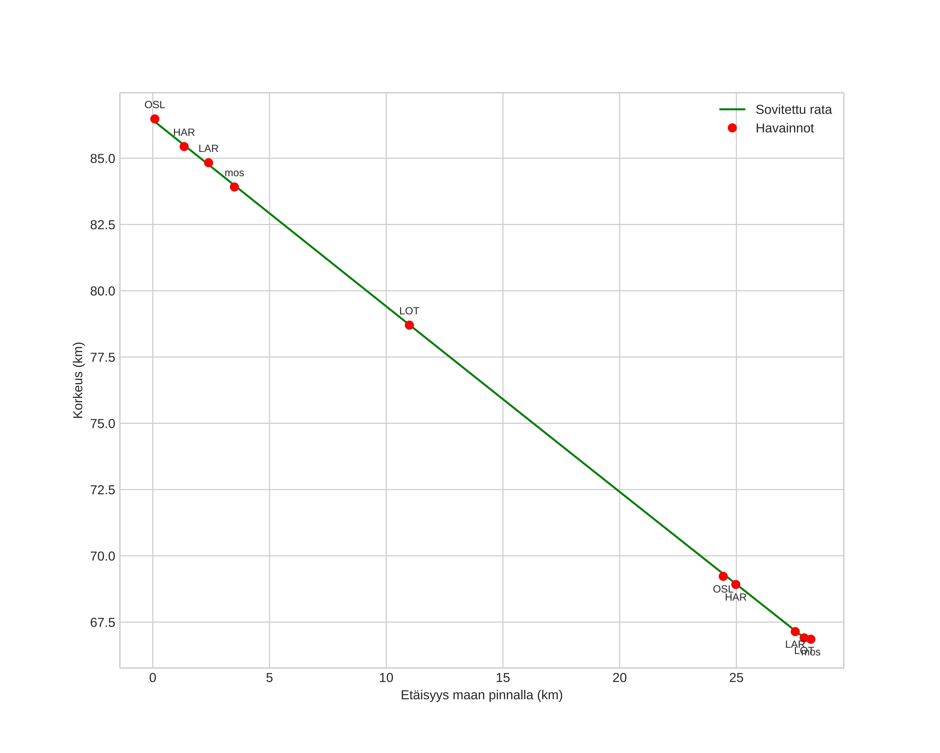
height profile
Meteorin ilmakehärata:
Alkukorkeus: 85,5 km
Loppukorkeus: 66,8 km
Alkupiste: 60,973N 10,583E
Loppupiste: 61,141N 10,236E
Suunta: 315,1°
Kallistuskulma: 35,3°
Tulonopeus: 19,8 km/s
Radiantin R,A,: 13:09 (197,3°)
Radiantin Dekl,: 7,9°
Meteoriparvi: Sporadinen
Meteoroidin rataelementit:
Perihelietäisyys: 0,709 AU
Eksentrisyys: 0,544
Inklinaatio: 7,3°
Nousevan solmun pituus: 17,0°
Perihelin argumentti: 260,1°
Keskianomalia: 334,4°
Epookki: 2025 APR 06 20:56:24
orbit plot

Ei-interaktiivinen kuvaaja | Interaktiivinen kuvaaja

position vs time
speed and acceleration