🇳🇴 🇬🇧 🇩🇪 🇨🇿 🇫🇮

Meteor, poloha: Geilo 2025-04-06 21:22:24 UTC

Soubor KML  |  InteraktivnĂ­ mapa

Mapa zobrazuje dráhy meteoru. Světlejší čáry ukazují směry od pozorovacích stanic při objevení se meteoru a tmavší čáry, kde byl naposledy viděn. Modrá šipka značí viditelnou dráhu meteoru.

static map
height profile
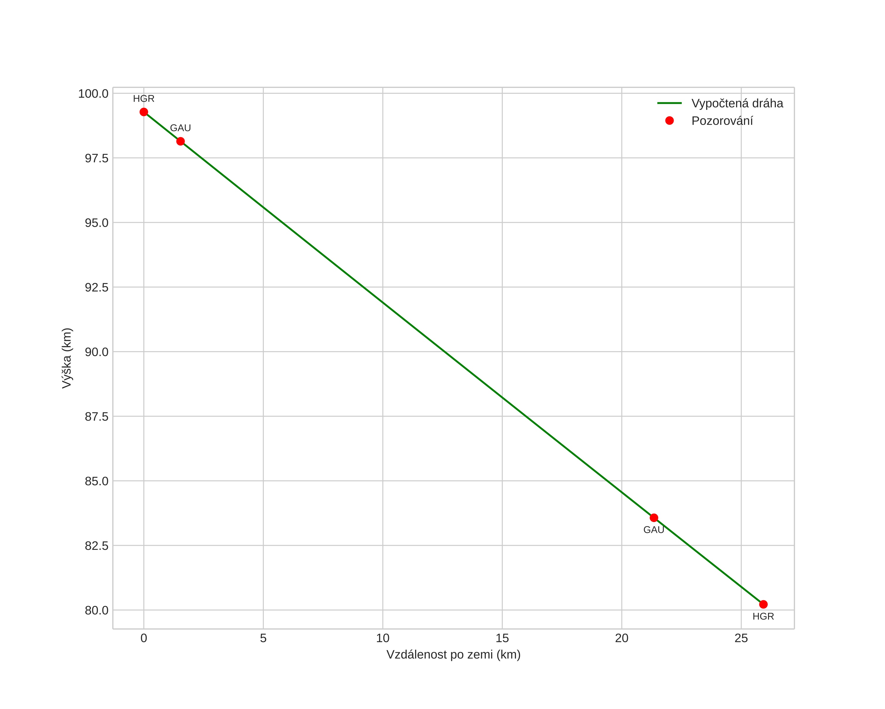
Atmosférická dráha meteoru:
Počáteční výška: 99,8 km
Konečná výška: 80,2 km
Počáteční poloha: 60,400N 8,124E
Konečná poloha: 60,588N 7,851E
Směr: 324,5°
Sklon: 37,4°
VstupnĂ­ rychlost: 25,2 km/s
Rektascenze radiantu: 12:48 (192,2°)
Deklinace radiantu: 9,2°
MeteorickĂ˝ roj: sporadickĂ˝
Elementy dráhy meteoroidu:
Vzdálenost v periheliu: 0,693 AU
Excentricita: 0,853
Sklon dráhy: 8,8°
Délka vzestupného uzlu: 17,0°
Argument perihelia: 250,6°
Střední anomálie: 356,2°
Epocha: 2025 APR 06 21:22:24
orbit plot

NeinteraktivnĂ­ graf | InteraktivnĂ­ graf

position vs time
speed and acceleration