🇳🇴 🇬🇧 🇩🇪 🇨🇿 🇫🇮

Meteor Geilon yllä 2025-04-06 21:22:24 UTC

KML-tiedosto  |  Interaktiivinen kartta

Kartta näyttää meteorin suuntahavainnot. Vaaleammat viivat näyttävät suunnat havaintoasemilta meteorin ilmestyessä, ja tummemmat viivat näyttävät, missä se viimeksi nähtiin. Sininen nuoli näyttää meteorin näkyvän lennon.

static map
height profile
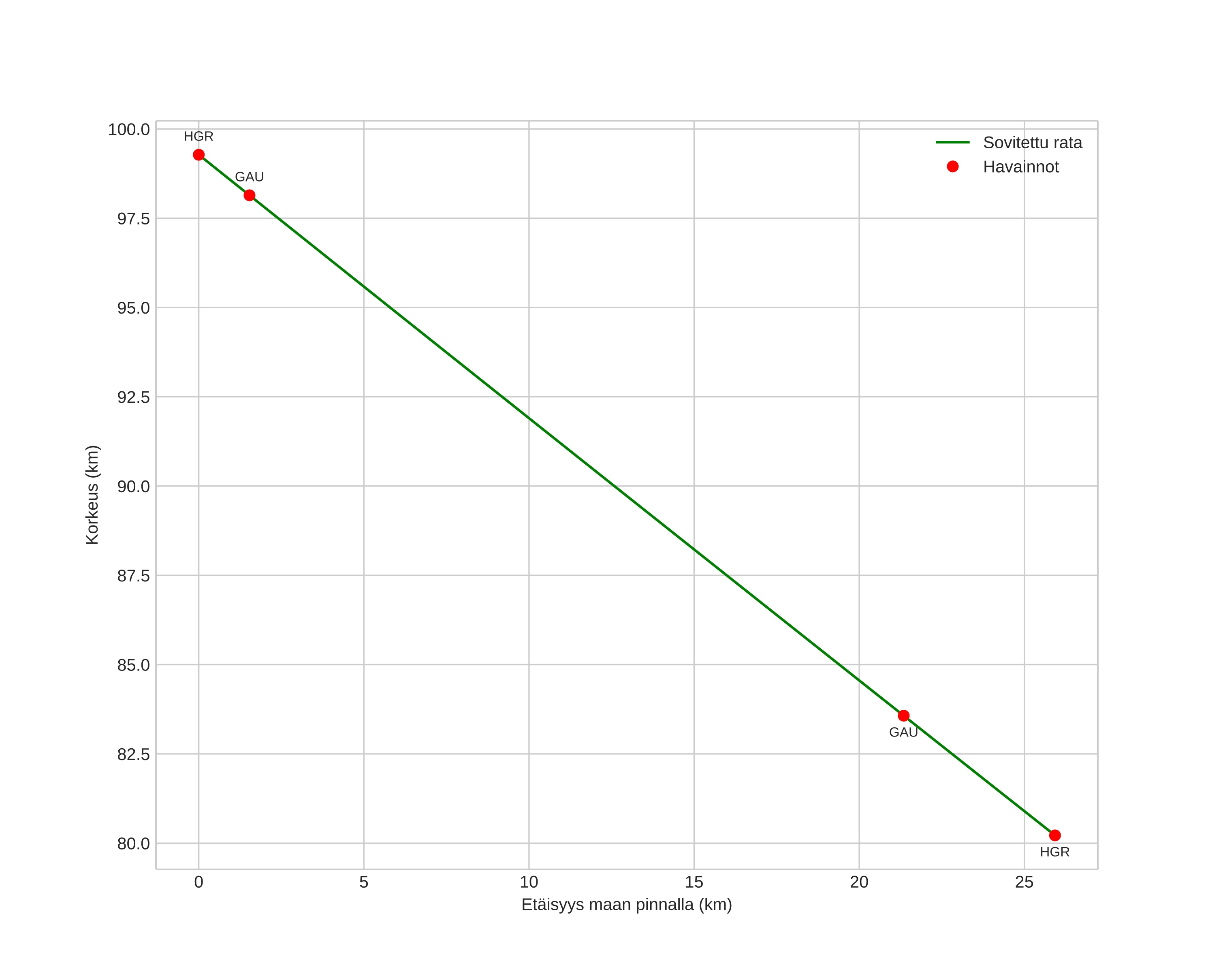
Meteorin ilmakehärata:
Alkukorkeus: 99,8 km
Loppukorkeus: 80,2 km
Alkupiste: 60,400N 8,124E
Loppupiste: 60,588N 7,851E
Suunta: 324,5°
Kallistuskulma: 37,4°
Tulonopeus: 25,2 km/s
Radiantin R,A,: 12:48 (192,2°)
Radiantin Dekl,: 9,2°
Meteoriparvi: Sporadinen
Meteoroidin rataelementit:
Perihelietäisyys: 0,693 AU
Eksentrisyys: 0,853
Inklinaatio: 8,8°
Nousevan solmun pituus: 17,0°
Perihelin argumentti: 250,6°
Keskianomalia: 356,2°
Epookki: 2025 APR 06 21:22:24
orbit plot

Ei-interaktiivinen kuvaaja | Interaktiivinen kuvaaja

position vs time
speed and acceleration