🇳🇴 🇬🇧 🇩🇪 🇨🇿 🇫🇮

Meteor, poloha: Seljord 2025-04-09 21:00:26 UTC

Soubor KML

Mapa zobrazuje dráhy meteoru. Světlejší čáry ukazují směry od pozorovacích stanic při objevení se meteoru a tmavší čáry, kde byl naposledy viděn. Modrá šipka značí viditelnou dráhu meteoru.

static map
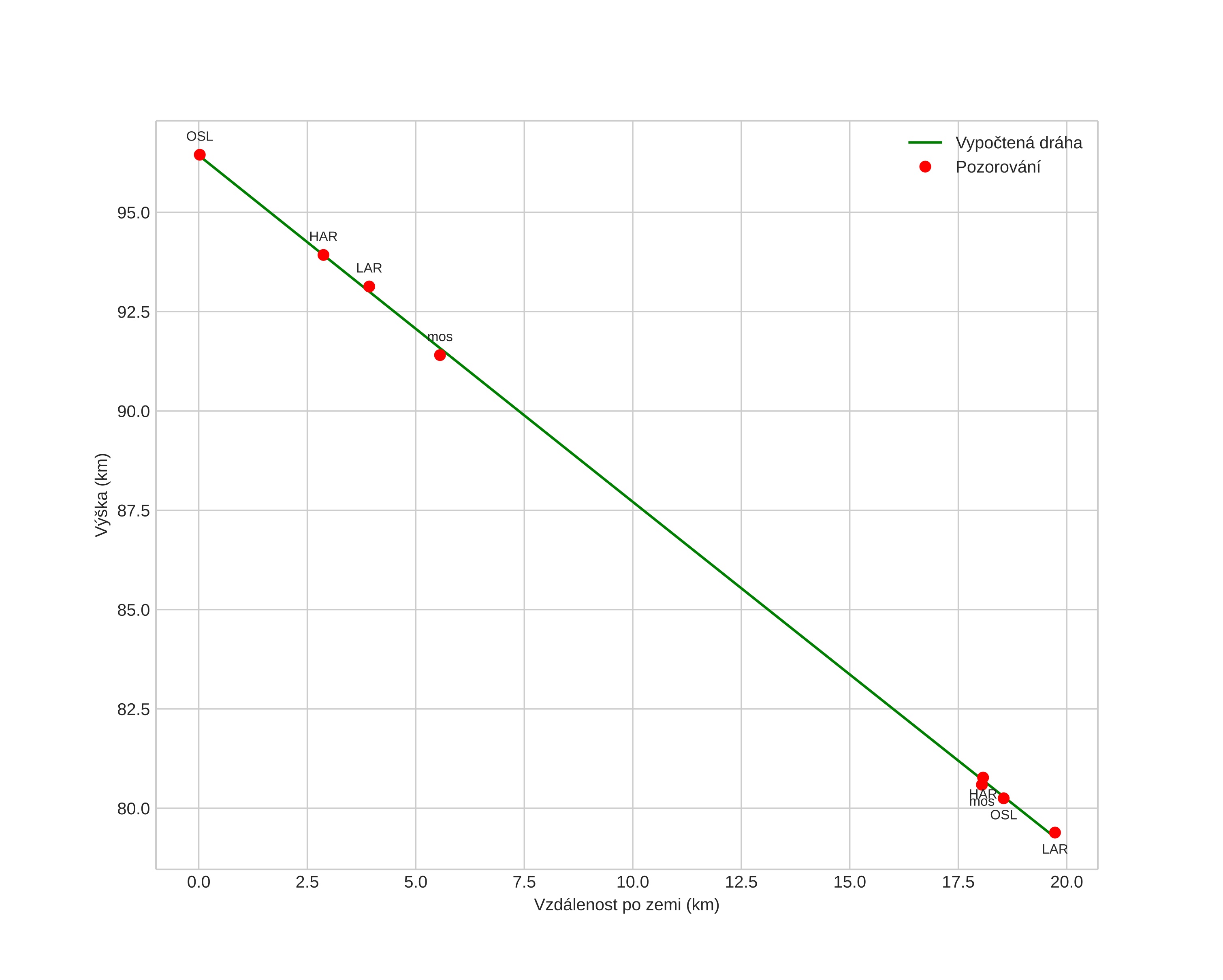
height profile
Atmosférická dráha meteoru:
Počáteční výška: 96,4 km
Konečná výška: 79,3 km
Počáteční poloha: 59,701N 8,745E
Konečná poloha: 59,525N 8,707E
Směr: 186,2°
Sklon: 41,0°
VstupnĂ­ rychlost: 23,6 km/s
Rektascenze radiantu: 22:02 (330,6°)
Deklinace radiantu: 67,7°
MeteorickĂ˝ roj: sporadickĂ˝
Elementy dráhy meteoroidu:
Vzdálenost v periheliu: 0,937 AU
Excentricita: 0,622
Sklon dráhy: 31,6°
Délka vzestupného uzlu: 19,9°
Argument perihelia: 146,3°
Střední anomálie: 6,4°
Epocha: 2025 APR 09 21:00:26
orbit plot

NeinteraktivnĂ­ graf

position vs time
speed and acceleration