Kartta näyttää meteorin suuntahavainnot. Vaaleammat viivat näyttävät suunnat havaintoasemilta meteorin ilmestyessä, ja tummemmat viivat näyttävät, missä se viimeksi nähtiin. Sininen nuoli näyttää meteorin näkyvän lennon.

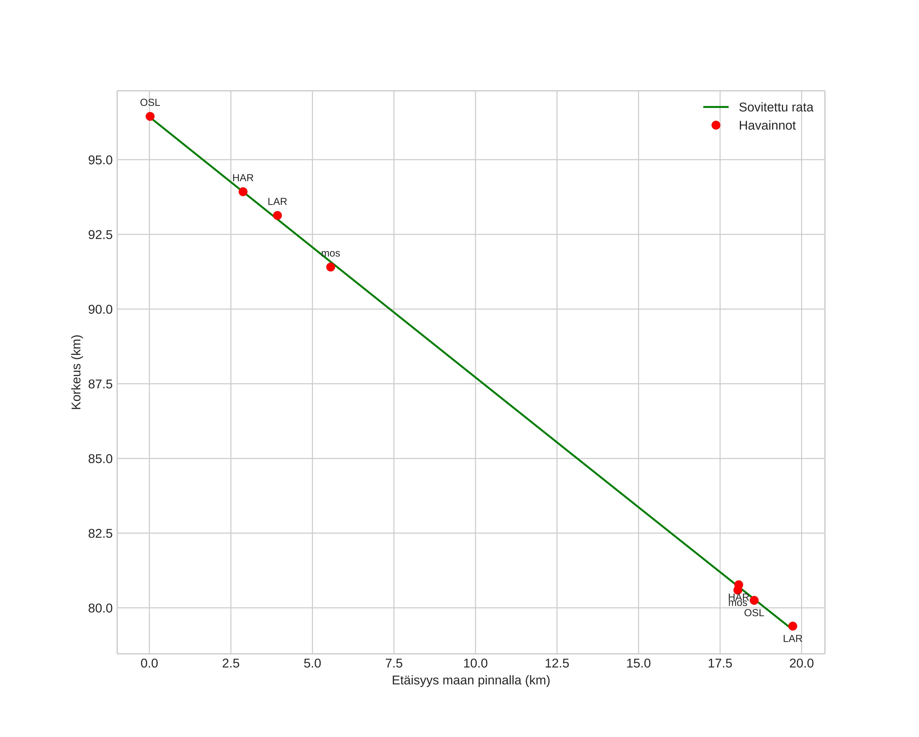
Meteorin ilmakehärata:
|
Meteoroidin rataelementit:
|


![]() |
![]() |
![]() |
![]() |
![]() |
![]() |
![]() |
![]() |