🇳🇴 🇬🇧 🇩🇪 🇨🇿 🇫🇮

Meteor über Løten 2025-04-09 23:57:51 UTC

KML-Datei  |  Interaktive Karte

Die Karte zeigt die Peilungen für den Meteor. Die helleren Linien zeigen die Richtungen von den Beobachtungsorten beim Erscheinen des Meteors, und die dunkleren Linien, wo er zuletzt gesehen wurde. Der blaue Pfeil zeigt die sichtbare Bahn des Meteors.

static map
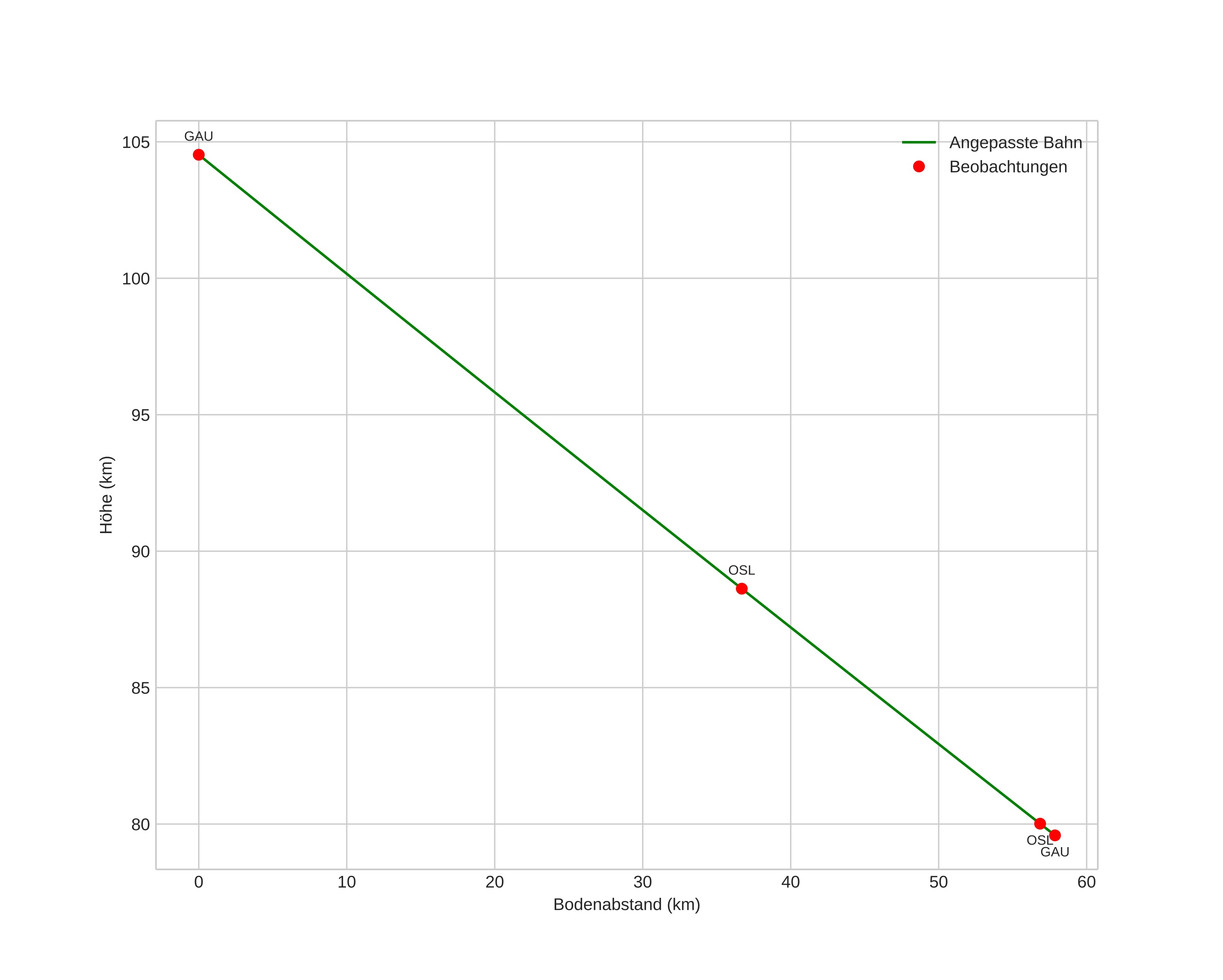
height profile
Atmosphärische Bahn des Meteors:
Anfangshöhe: 103,2 km
Endhöhe: 79,7 km
Startposition: 60,285N 11,234E
Endposition: 60,810N 11,334E
Richtung: 5,3°
Neigungswinkel: 21,9°
Eintrittsgeschwindigkeit: 29,9 km/s
Rektaszension des Radianten: 13:32 (203,2°)
Deklination des Radianten: -10,5°
Meteorstrom: sporadisch
Bahnelemente des Meteoroiden:
Periheldistanz: 0,451 AU
Exzentrizität: 0,849
Inklination: 0,8°
Länge des aufsteigenden Knotens: 199,9°
Argument des Perihels: 101,5°
Mittlere Anomalie: 351,8°
Epoche: 2025 APR 09 23:57:51
orbit plot

Nicht-interaktives Diagramm | Interaktives Diagramm

position vs time
speed and acceleration