🇳🇴 🇬🇧 🇩🇪 🇨🇿 🇫🇮

Meteor Løtenin yllä 2025-04-09 23:57:51 UTC

KML-tiedosto  |  Interaktiivinen kartta

Kartta näyttää meteorin suuntahavainnot. Vaaleammat viivat näyttävät suunnat havaintoasemilta meteorin ilmestyessä, ja tummemmat viivat näyttävät, missä se viimeksi nähtiin. Sininen nuoli näyttää meteorin näkyvän lennon.

static map
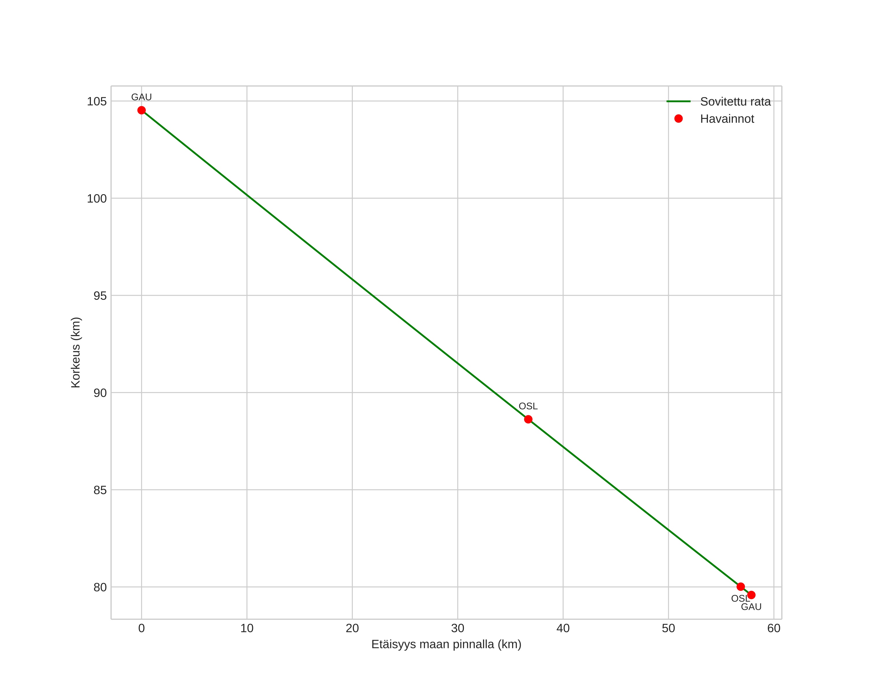
height profile
Meteorin ilmakehärata:
Alkukorkeus: 103,2 km
Loppukorkeus: 79,7 km
Alkupiste: 60,285N 11,234E
Loppupiste: 60,810N 11,334E
Suunta: 5,3°
Kallistuskulma: 21,9°
Tulonopeus: 29,9 km/s
Radiantin R,A,: 13:32 (203,2°)
Radiantin Dekl,: -10,5°
Meteoriparvi: Sporadinen
Meteoroidin rataelementit:
Perihelietäisyys: 0,451 AU
Eksentrisyys: 0,849
Inklinaatio: 0,8°
Nousevan solmun pituus: 199,9°
Perihelin argumentti: 101,5°
Keskianomalia: 351,8°
Epookki: 2025 APR 09 23:57:51
orbit plot

Ei-interaktiivinen kuvaaja | Interaktiivinen kuvaaja

position vs time
speed and acceleration