🇳🇴 🇬🇧 🇩🇪 🇨🇿 🇫🇮

Meteor, poloha: Langesund 2025-04-10 02:29:31 UTC

Soubor KML  |  InteraktivnĂ­ mapa

Mapa zobrazuje dráhy meteoru. Světlejší čáry ukazují směry od pozorovacích stanic při objevení se meteoru a tmavší čáry, kde byl naposledy viděn. Modrá šipka značí viditelnou dráhu meteoru.

static map
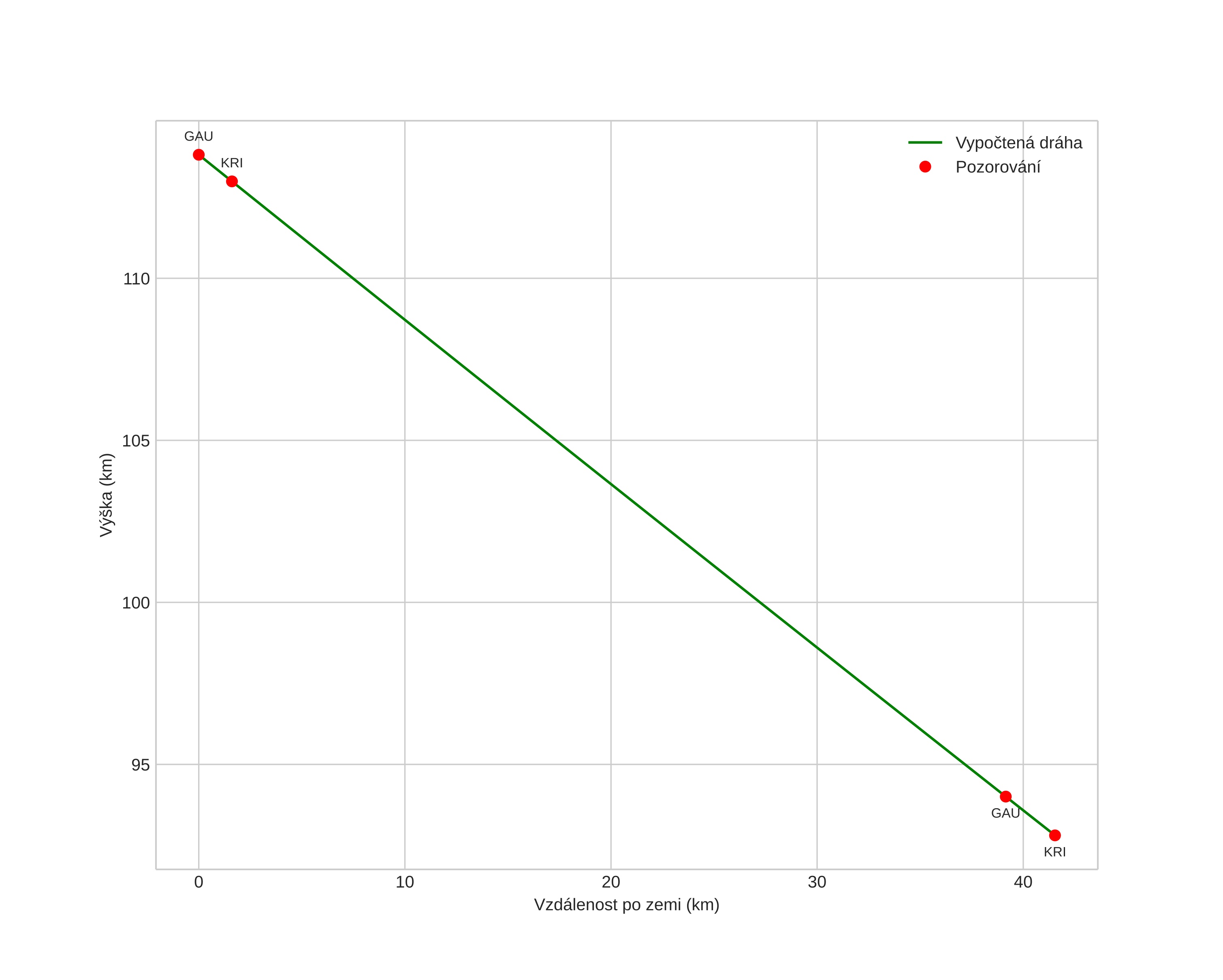
height profile
Atmosférická dráha meteoru:
Počáteční výška: 115,2 km
Konečná výška: 92,7 km
Počáteční poloha: 58,827N 10,558E
Konečná poloha: 58,954N 9,813E
Směr: 288,6°
Sklon: 26,5°
VstupnĂ­ rychlost: 65,1 km/s
Rektascenze radiantu: 20:27 (307,0°)
Deklinace radiantu: 13,0°
MeteorickĂ˝ roj: sporadickĂ˝
Elementy dráhy meteoroidu:
Vzdálenost v periheliu: 0,780 AU
Excentricita: 1,198
Sklon dráhy: 122,1°
Délka vzestupného uzlu: 20,1°
Argument perihelia: 126,4°
Střední anomálie: 3,8°
Epocha: 2025 APR 10 02:29:31
orbit plot

NeinteraktivnĂ­ graf | InteraktivnĂ­ graf

position vs time
speed and acceleration