🇳🇴 🇬🇧 🇩🇪 🇨🇿 🇫🇮

Meteor Langesundin yllä 2025-04-10 02:29:31 UTC

KML-tiedosto  |  Interaktiivinen kartta

Kartta näyttää meteorin suuntahavainnot. Vaaleammat viivat näyttävät suunnat havaintoasemilta meteorin ilmestyessä, ja tummemmat viivat näyttävät, missä se viimeksi nähtiin. Sininen nuoli näyttää meteorin näkyvän lennon.

static map
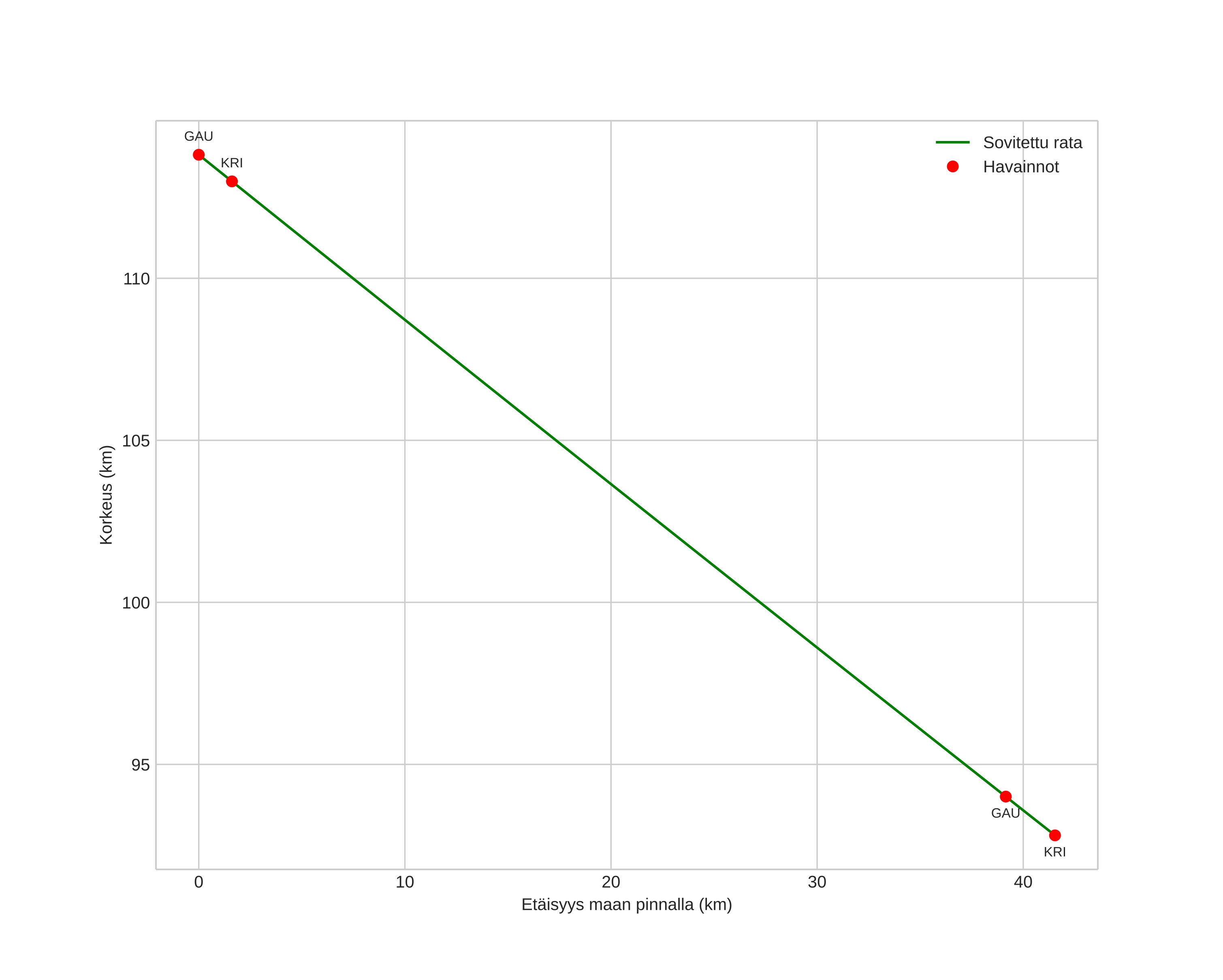
height profile
Meteorin ilmakehärata:
Alkukorkeus: 115,3 km
Loppukorkeus: 92,6 km
Alkupiste: 58,833N 10,557E
Loppupiste: 58,953N 9,812E
Suunta: 287,7°
Kallistuskulma: 26,8°
Tulonopeus: 65,3 km/s
Radiantin R,A,: 20:30 (307,5°)
Radiantin Dekl,: 13,7°
Meteoriparvi: Sporadinen
Meteoroidin rataelementit:
Perihelietäisyys: 0,776 AU
Eksentrisyys: 1,242
Inklinaatio: 121,0°
Nousevan solmun pituus: 20,1°
Perihelin argumentti: 126,3°
Keskianomalia: 5,1°
Epookki: 2025 APR 10 02:29:31
orbit plot

Ei-interaktiivinen kuvaaja | Interaktiivinen kuvaaja

position vs time
speed and acceleration