🇳🇴 🇬🇧 🇩🇪 🇨🇿 🇫🇮

Meteor, poloha: Ringebu 2025-04-14 21:57:17 UTC

Soubor KML  |  InteraktivnĂ­ mapa

Mapa zobrazuje dráhy meteoru. Světlejší čáry ukazují směry od pozorovacích stanic při objevení se meteoru a tmavší čáry, kde byl naposledy viděn. Modrá šipka značí viditelnou dráhu meteoru.

static map
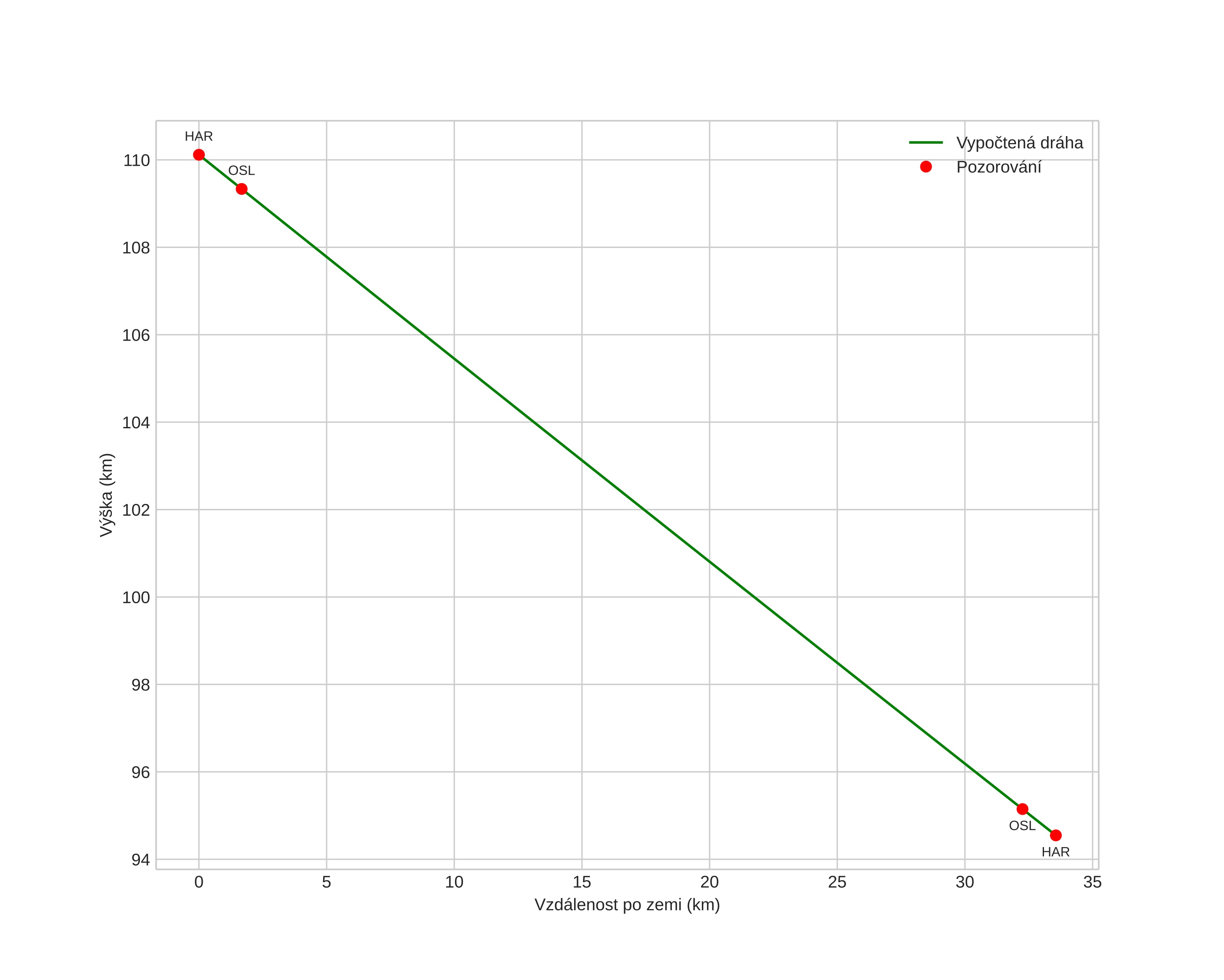
height profile
Atmosférická dráha meteoru:
Počáteční výška: 109,9 km
Konečná výška: 94,5 km
Počáteční poloha: 61,423N 10,746E
Konečná poloha: 61,427N 10,108E
Směr: 271,0°
Sklon: 24,4°
VstupnĂ­ rychlost: 57,3 km/s
Rektascenze radiantu: 17:20 (260,2°)
Deklinace radiantu: 20,3°
MeteorickĂ˝ roj: sporadickĂ˝
Elementy dráhy meteoroidu:
Vzdálenost v periheliu: 0,744 AU
Excentricita: 1,254
Sklon dráhy: 94,0°
Délka vzestupného uzlu: 24,8°
Argument perihelia: 237,6°
Střední anomálie: -6,0°
Epocha: 2025 APR 14 21:57:17
orbit plot

NeinteraktivnĂ­ graf | InteraktivnĂ­ graf

position vs time
speed and acceleration